熱線:021-66110810,66110819
手機:13564362870

熱線:021-66110810,66110819
手機:13564362870
鉑類抗腫瘤藥物是目前臨床常用的化療藥物。鉑類抗腫瘤藥物屬周期非特異性藥物,在體內各組織中的分布相似,在高效殺傷腫瘤細胞的同時,也具有嚴重的毒副作用。鉑類化合物抗腫瘤作用強,抗癌活性高毒性譜與其他藥物有所不同,易于與其它抗腫瘤藥配伍與其它抗腫瘤藥物少有交叉耐藥性,有利于臨床聯合用藥具有較廣的抗癌活性譜。四價鉑配合物具有較高的親脂性容易被癌細胞吸收,四價鉑配合物要發揮抗癌作用須先與細胞內的還原性物質發生氧化還原反應,本論文主要是研究了三種在研究階段的四價鉑類復合物在缺氧的微腫瘤環境下的生物氧化還原活性,研究討論了這類四價鉑類復合物在微腫瘤缺氧環境下的的氧化還原機制。
Unisense微電極系統的應用
應用了unisense氧微電極和氧化還原電極,所使用的氧微電極和氧化還原電位電極的尖端直徑都為10微米,所使用的電極都經過了兩點矯正法獲取了相應的標準曲線,其中的氧微電極測試包封組織細胞培養基中不同位置處的楊地濃度的步徑是20um,每個樣品的測試響應時間是4s.而氧化還原電位是在pH4-7的環境下校正后,結合參比電極測試了包封組織細胞培養基的氧化還原電位,測試步徑為30um,測試響應時間是14s。
實驗結果
缺氧導致的四價鉑配合物對于抗實體腫瘤的活性影響,研究對比了三種鉑(IV)配合物以及二價鉑配對物、賽特鉑對于缺氧和非缺氧狀態下,2D腫瘤細胞模型以及3D腫瘤細胞模型生物活性的影響,并最后通過使用SCID型老鼠模型做了相關的體內實驗。實驗表明,鉑(IV)配合物的親脂性、藥物聚集以及2D、3D細胞毒性之間存在很強的關聯性,缺氧環境狀態下,SCID老鼠模型實驗中表現為鉑(IV)配合物活性與其藥物聚集性之間幾乎沒有關聯性。四價鉑配合物1具有最低的還原活性,而四價鉑配合物3表現為較高的還原活性,鉑(IV)配合物2具有適中的還原速率以及中等的親油性能,表現為對腫瘤有很好的抑制作用,其抗腫瘤活性能超過了已經上市的鉑類抗腫瘤藥賽特鉑。
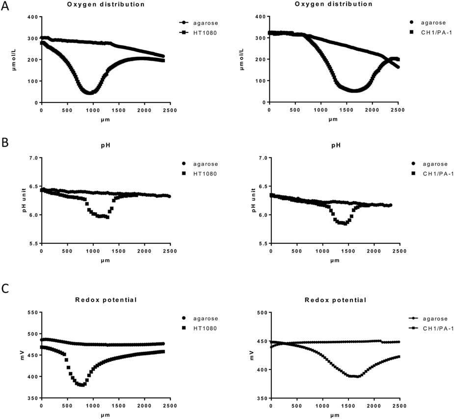
圖1、應用微電極對瓊脂糖包埋的HT1080細胞和CH1/PA-1多細胞球體(直徑大于400um),純瓊脂糖培養基測試的一些物理化學性質參數,其中圖A測試的是氧氣的分布情況(測量步徑為20um),圖B測試的是pH(測量步徑為40um),圖C測試的是氧化還原電位(測量步徑為40um)。從圖中可以看出,在培養基球體中心位置的氧氣濃度、pH、以及氧化還原電位均最低,而純瓊脂糖的氧氣濃度、pH則是呈現逐漸降低的趨勢。
圖2、應用微電極對瓊脂糖包埋的HCT116細胞純瓊脂糖培養基測試的一些物理化學性質參數,其中圖A測試的是氧氣的分布情況(測量步徑為20um),圖B測試的是pH(測量步徑為40um),圖C測試的是氧化還原電位(測量步徑為40um)。從圖中可以看出,瓊脂糖包埋的HCT116細胞體內的氧氣濃度、pH、氧化還原電位是呈現逐漸降低然后在慢慢增加。并且表現為在球體中央區域內的氧氣濃度、pH、氧化電位值最低。
圖3、四價鉑復合物1、2在缺氧和非缺氧狀態下的細胞毒性實驗。其中圖A表示的不同濃度抗腫瘤藥物四價鉑復合物1加入后,在是缺氧和非缺氧狀態下CH1/PA-1活細胞濃度變化曲線,圖B表示的是不同濃度抗腫瘤藥物四價鉑復合物1加入后,在缺氧和非缺氧狀態下的HT1080活細胞濃度變化情況。從圖中的趨勢可以看出,隨著四價鉑復合物的濃度增加,活細胞數逐漸降低,并且在低氧濃度下,同意當量的鉑復合物的加入導致的活細胞數量下降的更快。
圖4、HT1080細胞經過四價鉑配合物(1、2)處理后,包封瓊脂球體內的鉑的濃度分布情況。其中圖A表的是經過四價鉑配合物1處理后的HT1080細胞內的鉑含量分布,圖B表示的是經過四價鉑配合物1處理后的HT1080細胞內的鉑含量分布,圖C表示的是使用賽特鉑處理后的細胞內的鉑含量分布。其中激光I燒蝕CP-MS測試的是使用了20um厚的冰凍切片樣品。
圖5、圖A表示的是在老鼠活體內注入克分子數計量四價鉑類化合物1、2、賽特鉑化合物后,對于老鼠HT1080皮下細胞腫瘤在0-15天時間段內,腫瘤體積或重量的變化情況。圖B表示的是老鼠HT1080皮下皮下細胞腫瘤對于不同四價鉑類復合物的在第十五天時的腫瘤的重量情況。圖C表示的是實驗老鼠注入了不同的四價鉑復合物后,老鼠在0-15的時間段老鼠的重量變化情況。圖D表示的是使用了ICP-MS分析老鼠不同器官組織體內的鉑的含量。
總結
本論文主要研究的是在缺氧狀態下的2D、3D細胞模型下,四價鉑配合物的抗腫瘤活性、細胞毒性的性能之間的相關性。結合癌細胞2D、3D模型研究了四價鉑配合物的相關抗癌活性,以及在缺氧狀態下其氧化還原活性對于腫瘤組織的影響。論文研究過程中使用了unisense氧氣微電極測試了包封癌細胞組織培養基體系內不去區域位置的氧氣濃度,并同時使用了氧化還原電極測試了包封癌細胞組織培養基體系的氧化還原電位值的變化情況。微電極的使用使得相關研究者能夠很好的探索鉑(IV)配合物在腫瘤缺氧模型中的行為下的氧化還原性能以及抗腫瘤性能的影響情況,從而為今后臨床究這類鉑(IV)配合物在今后抗腫瘤治療中發揮更高的療效。這也說明unisense微電極系統在研究腫瘤類藥物活性以及抗腫瘤機制的研究領域存在著很好的應用前景。
相關新聞