熱線:021-66110810,66110819
手機:13564362870

熱線:021-66110810,66110819
手機:13564362870
水體富營養化對環境管理提出了全球性挑戰,經常導致水體中有害藻類大量繁殖。有害藻華破壞了生態系統的平衡,威脅人類健康,造成大量農業經濟損失。磷(P)長期以來被認為是控制藻華最有限的養分,而最近的研究表明氮(N)和磷都是關鍵的藻華生長的限制因素。藻類生長引起水體條件在一晝夜的周期發生劇烈的變化,可能引起沉積物中敏感的反饋系統并導致P的釋放。
本論文的研究人員主要利用吸附式取樣器(Rhizon)對有害藻華(HAB)在發育的不同階段期20mm表層沉積物中可溶性活性磷(SRP)和可溶性鐵(II)濃度在3-h時間間隔內的變化進行了相關微觀實驗研究,了解有害藻華生長過程中沉積物中P受激釋放的過程和相關機制。
關鍵詞:水體富營養化,有害藻類,生態系統,藻華釋放磷,沉積物
Unisense微電極分析系統的應用
沉積物中的溶氧剖面濃度及pH分別采用了尖端直徑為100um的氧微電極和尖端直徑為500um的pH微電極進行測試,其中氧電極的矯正采用了標準方法校準,即采用了兩點矯正法獲取了相應的標準曲線。unisense沉積物微剖面系統測試了不同時間段(1天,5天,15天,20天,44天,70天)沉積物中的氧剖面濃度及pH剖面濃度。
實驗結果
本研究利用吸附式取樣器(Rhizon)對有害藻華(HAB)在發育的不同階段對應的20mm表層沉積物中的可溶性活性磷(SRP)和可溶性鐵(II)濃度在3-h時間間隔內的變化進行了微觀實驗。結果表明有害藻華在孵育后15天內占優勢,在孵育后70天后藻華開始消退??紫端械目扇苄澡F(II)和SRP的濃度在藻華生長的潛伏期階段呈上升趨勢。與第1天相比,可溶性鐵(II)和SRP的最大值分別在夜間藻華開花和凋落階段增加了214%和387%。沉積物-水界面(SWI)的鐵和磷的擴散通量一般與濃度的變化相對應??扇苄澡F(II)和可溶性活性磷(SRP)濃度每小時波動一次,分別在晚上21:00和早上06:00(或凌晨03:00)出現兩個明顯的高峰濃度。這些結果表明鐵磷耦合機制是沉積物中磷釋放的主要機制。在塌陷期階段,可溶性鐵(II)濃度受夜間不穩定S(-II)增加而抑制。同時可溶性活性磷(SRP)濃度與鐵循環解耦合,每小時波動值較小(<11%RSD),藻類分解是沉積物中P釋放的主要來源。
圖1、給出了微環境實驗的照片圖,以及不同階段的采樣樣品。圖A、B分別表示活塞式和平板式DGT裝置示意圖;圖C D E分別表示對應的微電極、沉積物芯和根狀根采樣器。
圖2、在一個完整的一晝夜的循環周期中,控制池和藻類處理池的水柱樣品中光強度、DO和pH值的變化情況。白天和夜間的所處的時間段分別指的是從早上6點到下午18點,從下午18點到早上6點。分別給出這些時間段測試出的光強度、DO和pH值(所有的測試值為三次重復測量的平均值)
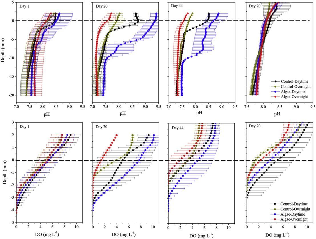
圖3、對比參照沉積物樣品和藻類處理后的沉積物樣品在白天和夜間不同時間段的pH值和DO值,深度為0對應水平虛線表示的是沉積物-水界面(SWI)。所有測試給出的值為三次重復測量的平均值。
圖4、在不同采樣日期,對比參照沉積物樣品和藻類處理后的沉積物樣品的pH和溶氧濃度(DO)的平均值。
圖5、應用DGT法對進行對比組水體和沉積物和藻類處理的水體和沉積物測試獲得的不穩定S(-II)濃度的二維分布圖。圖A和B分別)分別在第44天、日間及夜間時間段對應的對比組水體和沉積物和藻類處理的水體和沉積物中的不穩定的S(-II)濃度;圖C和D分別表示的是在第44天時藻類處理沉積物中白天和晚上的不穩定的S(-II)濃度。
總結
有害的藻華(HABs)會對水質造成嚴重后果并對水生生態系統、環境造成威脅。本論文研究人員對水體富營養化的沉積物進行了為期70天的孵育實驗,隨著藻華(HABs)的加入,利用完整的沉積物巖心來模擬水環境存在HABs的場景。通過使用采樣器采集到的沉積物用來研究沉積物中可溶性鐵(II)和SRP濃度的變化情況,結合使用了unisense微電極微剖面系統來獲得沉積物中的pH、溶氧DO分布的變化,獲得的沉積物水柱樣品中的氧氣含量及pH值受藻類的光合作用和光照強度的影響在一天之內變化很大,這些通過微電極測試獲得的相關數據(pH/溶氧)為研究人員提出了關于含有藻華的沉積物中鐵和磷濃度單位變化刺激磷的釋放機制提供了重要的數據支持,這說明unisense微剖面分析在研究水華導致的湖泊及淡水河流的富營養化水體的研究存在很好的應用前景。
相關新聞