熱線:021-66110810,66110819
手機:13564362870

熱線:021-66110810,66110819
手機:13564362870
研究簡介:全球范圍內頻繁發生的大規模海草死亡事件(<50km2)常與缺氧和沉積物衍生的H?S暴露有關。佛羅里達灣是全球最大的連續海龜草(Thalassia testudinum)海草床之一,但自1980年代以來反復發生<80 km2的大規模死亡事件。主流假說認為高溫/高鹽誘發沉積物孔隙水中高濃度硫化氫(H?S)侵入植株頂端分生組織,導致缺氧致死。然而災后裸露底質能否重新被海龜草拓殖,以及新生幼苗能否抵御高H?S環境,此前缺乏直接證據。研究人員以佛羅里達灣西部Johnson Key為案例,檢驗“高孔隙水H?S是否限制海龜草在裸沙中的自然補充”這一假設,并闡明新生植株的耐受機制。研究人員通過穩定硫同位素示蹤(δ3?S):對裸沙、H.wrightii早期草甸及成熟T.testudinum草甸三種生境中的新生/成熟植株,分葉、頂端分生組織、根狀莖、根四部位取樣,利用EA-IRMS測定δ3?S與總硫(TS),判斷H?S侵入程度。并使用Unisense水下微電極系統對裸沙中新拓殖的單株進行24–72 h連續測量。探頭分別插入葉片及頂端分生組織的氣腔,同步記錄水柱溫度、鹽度、溶解氧、光合有效輻射。通過光照-暗周期對比,量化內部O?供給與H?S防御效率。研究表明海龜草新生幼苗可通過“高效內源供氧+潮汐夜補氧+滯后根系發育”三重機制,在硫化物濃度高達0.6 mM的裸沙中成功定植,證明該物種對H?S脅迫具有恢復韌性。
Unisense微電極研究系統的應用
利用unisense微米級O?和H?S微電極(尖端≈10μm),在單株幼苗的葉片和頂端分生組織氣腔中同步布點,并通過水下微操平臺以10μm步進插入,避免組織損傷,首次實現新生植株內部氧-硫動態的“點測。使用Unisense水下微電極系統(對裸沙中新拓殖的單株進行24–72 h連續測量。探頭分別插入葉片及頂端分生組織的氣腔,同步記錄水柱溫度、鹽度、溶解氧、光合有效輻射。通過光照-暗周期對比,量化內部O?供給與H?S防御效率。高靈敏度O?/H?S微傳感器實現葉片及分生組織的μm級定位與μM級檢測直接證明新生株頂端分生組織在晝夜循環中未受H?S侵入。實時記錄光照-暗周期下的O?動態,揭示“二相氧化”模式(快速-緩慢)及夜間潮汐補氧效應。通過與成熟草甸歷史數據對比,量化新生株雖最大內氧低8 kPa,但氧化效率足以形成H?S屏障,為解釋草甸恢復機制提供決定性證據。
實驗結果
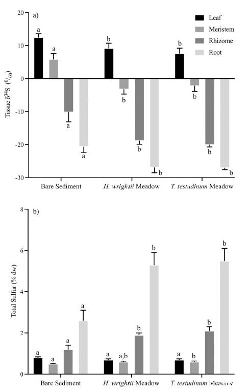
δ3?S與TS顯示裸沙新生植株各組織δ3?S顯著高于成熟草甸植株,且頂端分生組織TS更低,表明H2S侵入有限。海龜草新生幼苗可通過“高效內源供氧+潮汐夜補氧+滯后根系發育”三重機制,在硫化物濃度高達0.6 mM的裸沙中成功定植,證明該物種對H2S脅迫具有恢復韌性。白天葉片內pO?最高可達40 kPa(約為水柱飽和值的2倍),頂端分生組織pO?峰值約為葉片的60%;夜間雖然分生組織常降至<1.5 kPa的缺氧狀態,但22次白晝+19次夜間記錄均未檢測到H?S進入分生組織。夜間水柱O?受漲潮補給,葉片內O?同步抬升5–8 kPa,形成保護性氧化屏障。裸沙新生株根生物量僅為成熟草甸的1/6–1/4,根出現率70%,減少了H?S自根侵入及微生物硫酸鹽還原作用。海龜草新生幼苗可通過“高效內源供氧+潮汐夜補氧+滯后根系發育”三重機制,在硫化物濃度高達0.6 mM的裸沙中成功定植,證明該物種對H?S脅迫具有恢復韌性。
圖1、(a)三種生境(裸沙單株、H.wrightii草甸、T.testudinum草甸)中海龜草葉片、頂端分生組織、根狀莖及根的穩定硫同位素值(δ3?S)。不同字母表示生境間差異顯著(季節平均值±標準誤)。(b)各部位總硫含量(TS,干重百分比)。
圖2、完整T.testudinum草甸中,根組織的δ3?S與總硫含量(TS)之間的線性關系(R2=0.67)。
圖3、葉片內pO?隨光照變化的二相動態(示例)。葉片內pO?(黑色)與光合有效輻射(灰色)隨時間變化。(a)2019-09-11;(b)2020-02-14;(c)2020-05-07。顯示日出后快速上升至28–36 kPa,之后隨光強增加緩慢上升。
圖4、白天葉片pO?與光照關系(2020-02-14示例)。白天葉片內pO?隨光照累積至下午峰值,隨后快速下降。(a)9:15–15:15線性累積;(b)光照降低后迅速去飽和。
圖5、夜間葉片與水柱pO?受潮汐影響。夜間(日落至日出)葉片(灰線)與水柱(黑線)pO?以及潮位(陰影灰)漲潮時水柱O?升高,葉片內O?同步增加5–8 kPa,形成潮補氧效應。
結論與展望
本研究探討了熱帶大西洋-加勒比海地區優勢海草物種Thalassia testudinum在硫化氫(H?S)脅迫下的恢復能力。研究地點選在佛羅里達灣,該區域因高溫高鹽條件頻繁發生大規模海草死亡事件。研究采用兩種方法:(1)通過δ3?S同位素分析評估新生長組織對H2S的暴露程度;(2)使用Unisense微電極系統測量葉片和分生組織內部的H2S和O?動態變化。研究發現,T.testudinum能夠在高H2S沉積物中成功定植,這歸因于(1)白天通過光合作用有效氧化內部組織;(2)夜間通過水柱擴散維持氧化狀態;(3)有限的地下根系發育限制了微生物群落發展,減少了H2S從根部向分生組織的侵入。與完整草甸中的成熟植株相比,新定植植株表現出更高的δ3?S值和更低的總硫含量,表明其H2S暴露程度較低。研究結果為理解海草草甸在極端氣候事件后的恢復機制提供了重要見解。