熱線:021-66110810,66110819
手機:13564362870

熱線:021-66110810,66110819
手機:13564362870
2結果與分析
2.1鹽堿脅迫對紫花苜蓿根系Na+吸收的影響
鹽堿脅迫后紫花苜蓿根系Na+平均流速及流向如圖2。與對照組(A0)相比,在鹽堿混合脅迫下鹽敏感品種敖漢Na+離子流速成下降趨勢,在輕度鹽堿度表現為外流,在中度鹽堿度和重度鹽堿度轉變為內流;中度耐鹽品種阿爾岡金由對照組的內流轉換為外流,在輕度鹽堿度和中度鹽堿度離子流速有上漲的趨勢,在重度鹽堿度時離子流速回落;耐鹽品種金皇后也是由內流轉換為外流,但是流速變化幅度較大,在中度鹽堿度時可達到818 pmol·cm-2·s-1,而在重度鹽堿度時流速急劇下降,但是外流速度還是高于阿爾岡金。從總體上分析,敖漢在鹽堿脅迫下Na+離子流速呈現下降趨勢,在中度鹽堿度脅迫時離子由外流轉變為內流,阿爾岡金與金皇后離子流速呈現上升的趨勢,但是在重度鹽堿度時Na+離子流速有所回落。以上結果顯示,耐鹽性強的紫花苜蓿在鹽堿脅迫下Na+離子流速顯著大于敏感品種,這說明,在鹽堿環境下耐鹽性強的紫花苜蓿品種可以通過提高Na+的外流速度來適應鹽堿環境。
圖2鹽堿脅迫后紫花苜蓿根系Na+平均流速及流向
比較相同濃度下鹽堿脅迫3個品種Na+離子流速。在正常濃度下敖漢Na+離子流速表現為外流,最高離子流速可達875 pmol·cm-2·s-1,阿爾岡金和金皇后表現為內流流速大約在256 pmol·cm-2·s-1和132 pmol·cm-2·s-1,如圖3(a);在輕度鹽堿度中3個品種基本表現為外流,金皇后外流速度最快,最高流速為1 400 pmol·cm-2·s-1,敖漢和阿爾岡金相對較低,如圖3(b);在中度鹽堿度下,3個品種流速變化都比較明顯,Na+外流速度都有所增加,但是阿爾岡金變化幅度最小,如圖3(c);在重度鹽堿度下,敖漢Na+開始內流,阿爾岡金外流速度也大幅度下降,但還是表現為外流,而金皇后外流速度也有所減小,幅度變化不大,只有30 pmol·cm-2·s-1左右,如圖3(d)。以上結果顯示,在不同鹽堿環境下不同品種的紫花苜蓿在排鈉速度的穩定性不同,金皇后在各個鹽堿環境下的Na+離子流速最為穩定(重度鹽堿度除外,pH值和碳酸根濃度過高影響紫花苜蓿正常生長)。
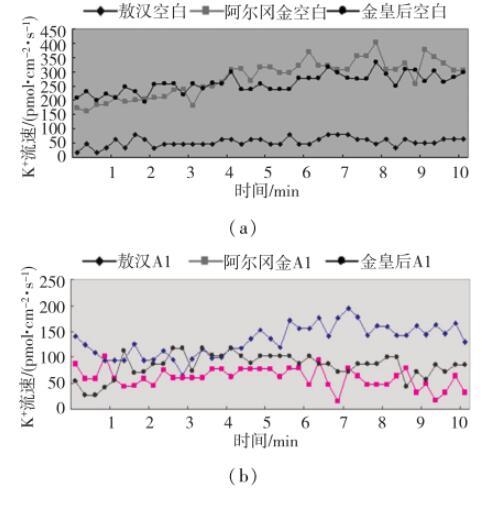
2.2鹽堿脅迫對紫花苜蓿根系K+吸收的影響
在鹽堿脅迫下3個紫花苜蓿品種的K+離子平均流速都表現為外流,平均流速變化各不相同,與對照組(A0)相比,敖漢在輕度鹽堿下K+平均流速有所增加外,在中度鹽堿環境和重度鹽堿環境中基本保持不變;阿爾岡金在對照組中表現為K+平均流速高速外流,在鹽堿脅迫下K+平均流速都有所變化,輕度鹽堿環境下K+平均流速急劇下降,中度鹽堿環境下K+平均流速回升,在重度鹽堿環境下又急劇下降,但還是高于輕度鹽堿環境的K+平均流速;金皇后的K+平均流速變化趨勢與阿爾岡金類似,只是在輕度鹽堿環境下K+平均流速下降更為急劇(如圖4)。結果顯示,3個品種在鹽堿脅迫下K+離子平均流速都表現為外流,平均離子流速變化各不相同,中度耐鹽品種阿爾岡金和耐鹽品種金皇后的變化趨勢類似。
圖4鹽堿脅迫后紫花苜蓿根系K+平均流速及流向
比較相同濃度下鹽堿脅迫3個品種K+離子流速。在3種鹽堿環境K+離子流速均表現為外流,除在輕度鹽堿環境外金皇后離子流速都比其他兩個品種流速要高,最高流速可達325 pmol·cm-2·s-1(如圖5)。在3個不同鹽堿環境下,敖漢、阿爾岡金和金皇后的K+離子流速變化各不相同,在輕度鹽堿環境中敖漢K+離子流速增加,在中度鹽堿環境下又回復平穩,與對照組基本一致,而在重度鹽堿下K+離子流速波動幅度明顯變大;阿爾岡金和金皇后的K+離子流速雖然各有變化,但變化幅度比較平穩,沒有較大的波動。
2.3鹽堿脅迫對紫花苜蓿根系Na+、K+離子流速綜合分析
Na+、K+合并后的離子流速圖如圖6。可以觀察到,鹽堿脅迫下紫花苜蓿K+離子流速都表現為外流作用,Na+離子流速變化較大。在對照組中,除敖漢Na+離子流速為外流外其他都表現為內流,鹽堿脅迫后Na+流速迅速變化,由內流轉變為外流,而K+離子流速迅速增加。敖漢在輕度鹽堿脅迫下Na+離子流速急劇減小為6.95 pmol·cm-2·s-1,K+離子流速卻隨之增加;在中度鹽堿和重度鹽堿脅迫下Na+、K+離子流速都有回落,甚至出現Na+內流的情況,此時與敖漢在此濃度脅迫下活力降低,出現萎蔫的情況一致。阿爾岡金在鹽堿脅迫下Na+由內流轉變為外流,離子流速隨著鹽堿度增加略有上漲的趨勢,而K+外流速度先下降有回升的趨勢。與阿爾岡金類似,金皇后K+外流速度也出現回落或回升的趨勢,而Na+離子流速變化明顯特別是在輕度鹽堿度和重度鹽堿度中,最高流速可達818.03 pmol·cm-2·s-1。從Na+、K+疊加圖可以看出,在鹽堿脅迫下紫花苜??梢酝ㄟ^拒Na+方式適應鹽堿環境。
圖6鹽堿脅迫后紫花苜蓿Na+/K+合并離子流速及流向
圖6數據顯示,紫花苜蓿在鹽堿脅迫下對K+離子流速變化有一定的影響作用,但K+離子流速變化規律無跡可尋或不成規律,對于紫花苜蓿耐鹽堿性強弱是否與K+離子流速有關還需進一步研究。
3討論
通常在鹽堿脅迫下,植物生長緩慢,代謝受到抑制,嚴重時出現鹽斑,葉子萎蔫,甚至死亡?,F有研究表明,與大多數甜土植物一樣,紫花苜蓿屬于拒Na+植物,而且其拒Na+能力與耐鹽性密切相關。鹽脅迫下,雖然各紫花苜蓿品種地上部Na+含量都有所上升,但與耐鹽品種相比,鹽敏感型品種地上部Na+含量更高。地上部較高的Na+/K+是造成紫花苜蓿鹽害的主要原因。Bao等研究表明,地上部Na+/K+與品種的耐鹽性呈負相關關系。因此,在鹽脅迫下維持較低的Na+/K+有助于減輕鹽分對紫花苜蓿植株,特別是其地上部的傷害,從而維持其正常生長。王小山等研究表明,中性鹽和堿性鹽脅迫后,苜蓿根、莖、葉的Na+含量升高,堿性鹽處理的根、莖Na+含量顯著高于中性鹽處理,中性鹽和堿性鹽脅迫后,堿性鹽脅迫下的Na+/K+值高于中性鹽脅迫;堿性鹽脅迫使Na+/Mg+比值高于中性鹽脅迫,堿性鹽脅迫抑制根對Al+的吸收,但對其向莖和葉中運輸則影響不大?;旌蠅A性鹽脅迫弱化了苜蓿對Na+吸收與運輸的控制,增強了Na+的毒害,中性、堿性混合鹽脅迫條件下,重要養分離子在苜蓿植株根、莖、葉中的含量存在差異,進一步說明紫花苜蓿對中性和堿性鹽脅迫的適應機制不同,這可能與溶液高pH值和高濃度的碳酸根存在有關。
4結論
(1)在輕度、中度、重度鹽堿濃度脅迫下,敏感型紫花苜蓿品種敖漢Na+離子流速逐漸下降,在中度鹽堿環境下由外流轉變為內流;中度耐鹽紫花苜蓿品種阿爾岡金Na+離子流速呈上升趨勢,由對照組的內流轉變為外流,且外流速度在輕度、中度鹽堿環境下逐漸上升,在重度鹽堿環境下有回落。
(2)耐鹽紫花苜蓿品種金皇后的Na+離子流速與中度耐鹽品種阿爾岡金類似,在輕度和中度鹽堿環境下Na+離子流速逐漸上升,在重度鹽堿環境下回落,導致回落的原因可能是脅迫溶液的pH值過高和高濃度的碳酸根存在有關。從總體上分析,在鹽堿脅迫下,敏感型品種敖漢Na+離子流速逐漸下降;中度耐鹽品種阿爾岡金Na+離子流速逐漸升高;耐鹽品種金皇后Na+離子流速逐漸升高,但增幅比中度耐鹽品種阿爾岡金要大。所以,紫花苜蓿在一定pH值和碳酸根濃度的鹽堿環境下,可通過控制Na+離子流速維持正常的生長。
(3)在不同鹽堿濃度的脅迫下,3種紫花苜蓿品種的K+離子流速始終表現為外流,且流速均發生變化。由于鹽堿脅迫濃度梯度設置,無法體現K+離子流速變化是否與鹽堿度相關,關于紫花苜蓿在鹽堿脅迫下K+離子流速與耐鹽堿性的相關性還需做進一步研究。