熱線:021-66110810,66110819
手機:13564362870

熱線:021-66110810,66110819
手機:13564362870
背景介紹:大西洋鮭是一種在水產養殖中具有重要商業價值的魚類。然而近年來在循環水產養殖系統(RAS)中,由于硫化氫(H?S)的急性暴露導致了大量的大西洋鮭死亡。硫化氫是一種由微生物產生的有毒氣體,主要通過抑制細胞色素c氧化酶來阻礙細胞呼吸。因此,了解大西洋鮭對硫化氫的耐受性閾值和代謝響應對于減少此類事件的發生至關重要。研究人員在實驗過程中使用了三種不同大小的大西洋鮭(約100-500克),首先讓它們適應控制條件以獲取基線測量值,然后逐漸增加H?S濃度(0.53±0.14μM/h),直到氧氣攝取量(MO?)降至標準代謝率(SMR)以下或失去平衡,這被認為是臨界硫化氫濃度(H?Scrit)。隨后讓魚在無硫化氫的水中恢復,以確定硫化氫暴露后的過量氧消耗(EOC)。研究表明大西洋鮭對急性硫化氫暴露的耐受性遠低于之前認為的水平,這強調了水產養殖行業需要采取措施減少硫化氫的產生,并在發生硫化氫事件時迅速采取行動以避免大量死亡事件的發生。此外研究還發現小鮭魚在硫化氫暴露后的恢復過程中需要更多的氧氣,這可能與它們的代謝率和能量儲備有關。未來的研究需要進一步探索硫化氫代謝的機制以及不同物種對硫化氫耐受性的差異,并制定標準化的硫化氫耐受性研究協議,以便更好地比較不同物種之間的硫化氫耐受性。
Unisense微電極系統的應用
Unisense微電極被用于實時監測實驗水體中的硫化氫(H?S)濃度。研究中使用了兩個Unisense H?S微電極,分別安裝在主實驗水槽(137 L)和混合槽(12 L)中。這些微電極通過連接到一個安培測量裝置,并與計算機相連,用于實時監測和記錄H?S濃度。微電極在使用前進行了校準,使用的是經過調整至約pH=2的海水,并采用9點校準法,校準范圍為0到20.5μM H?S(R2<0.99)。在實驗過程中,H?S濃度每分鐘測量一次,并通過與微電極相連的計算機軟件(SensorTrace Logger)進行實時記錄。通過精確控制和監測H?S濃度,Unisense硫化氫電極的應用減少了實驗過程中可能因H?S濃度過高而導致的魚類死亡風險,提高了實驗的安全性和效率。同時,這種精確的監測和控制也為研究提供了高質量的數據,有助于更準確地評估大西洋鮭對H?S的耐受性和生理反應。
實驗結果
研究表明大西洋鮭對急性硫化氫暴露的耐受性遠低于之前認為的水平,這強調了水產養殖行業需要采取措施減少硫化氫的產生,并在發生硫化氫事件時迅速采取行動以避免大量死亡事件的發生。此外,研究還發現小鮭魚在硫化氫暴露后的恢復過程中需要更多的氧氣,這可能與它們的代謝率和能量儲備有關。未來的研究需要進一步探索硫化氫代謝的機制以及不同物種對硫化氫耐受性的差異,并制定標準化的硫化氫耐受性研究協議,以便更好地比較不同物種之間的硫化氫耐受性。。
圖1、實驗裝置的示意圖。泵用X表示,虛線表示管道和流動方向(箭頭)。氫化硫(H2S)濃度通過在主水槽(1)和混合水槽(2)中標有傳感器的H2S傳感器連續測量。自動反饋系統根據混合水槽中獲得的傳感器信息控制H2S濃度。根據測量的H2S濃度,蠕動泵(連接到0.1 M Na2S儲備溶液)開啟/關閉。
圖2、氧氣攝取量(MO2;mg O2 kg?1 h?1)在整個實驗過程中的代表性圖表。實驗包括三個階段:(1)適應和MO2測量,以估算標準代謝率(SMR);(2)暴露于逐漸增加的H2S濃度;(3)暴露后恢復。圖中示例為海水(33‰)中的84g大西洋鮭,估算的SMR為150.8 mg O2 kg?1 h?1。虛線表示SMR,虛線豎線表示H2S暴露的開始和結束。
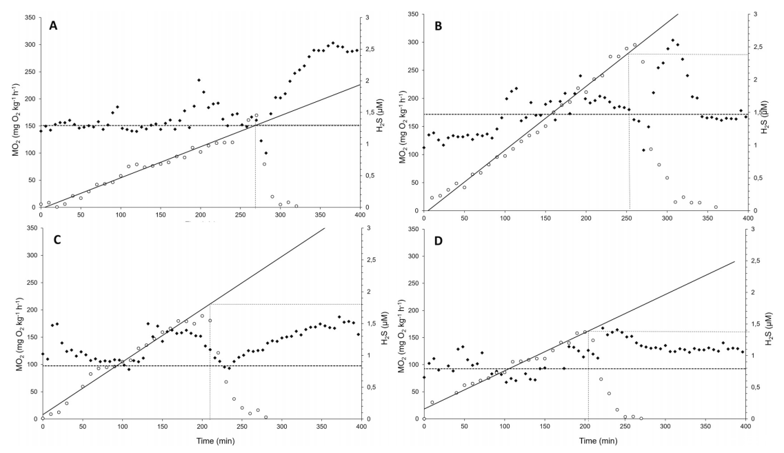
圖3、A-D.四只大西洋鮭(Salmo salar)在暴露于逐漸增加的H2S濃度(μM,空心圓)期間的氧氣攝取量(MO2;mg O2 kg?1 h?1,黑色圓點)。暴露在A-B)當兩個連續的MO2值由于H2S增加而降低到低于標準代謝率時終止,C-D)和/或由于失去平衡(LOE)而在MO2下降之前終止。為H2S濃度擬合了回歸線(實線)。每個點表示10個測量值的平均值。方形虛線表示個體標準代謝率(mg O2 kg?1 h?1)。圓形虛線顯示了預定義代謝反應指標(MO2降低/LOE)與相應H2S濃度的交點,即所謂的H2Scrit。觀察到兩種不同的反應類型,分別為MO2增加(B和C)或MO2不變。
圖4、從估算的標準代謝率中測得的最大氧氣消耗量(MO2peak)的百分比增加。這些值是在三種體型范圍的大西洋鮭(Salmo salar)急性氫化硫暴露恢復期間獲得的(小型=103.3±21.0 g,中型=275.3±26.3 g,大型=550.2±39.3 g)。
圖5、三組大西洋鮭(Salmo salar)在急性氫化硫暴露恢復期間的代謝參數。上標字母表示三組之間的顯著差異。
結論與展望
大西洋鮭魚在海水水產養殖生產系統中具有重要地位,但關于硫化氫(H2S)對該物種生理學的影響知之甚少。,在循環水產養殖系統(RAS)中,由于急性硫化氫暴露,報告了大西洋鮭魚的大規模死亡事件。這凸顯了獲取更好理解其耐受閾值和代謝反應的必要性。H2S的毒性作用發生在線粒體水平,硫化氫通過抑制細胞色素c氧化酶,干擾細胞呼吸。由于H2S會抑制氧氣攝取(MO2),間歇流量呼吸法(間歇性流過呼吸測量法),這是一種常用于評估魚類應對各種應激源的代謝反應的方法,因此是一種適用于確定H2S影響大西洋鮭魚代謝的濃度閾值的合適方法。在暴露試驗中,三個體重組(范圍約100-500克)的魚在控制條件下適應以獲得基線測量,然后暴露于逐漸增加的H2S濃度(0.53±0.14μM h?1),直到MO2降至標準代謝率以下或失去平衡,研究認為是臨界H2S濃度(H2Scrit)。魚被允許在無H2S水中恢復,以確定H2S暴露后的過量氧氣消耗(EOC)。Unisense微電極能夠實時、精確地監測實驗水體中的H2S濃度,確保實驗過程中H2S濃度的準確性和穩定性。通過精確控制和監測H2S濃度,Unisense微電極的應用減少了實驗過程中可能因H2S濃度過高而導致的魚類死亡風險,提高了實驗的安全性和效率。同時這種精確的監測和控制也為研究提供了高質量的數據,有助于更準確地評估大西洋鮭對H2S的耐受性和生理反應。結果表明,大西洋鮭魚對H2S的耐受性低于先前的估計,平均H2Scrit為1.78±0.39μM H2S,且與體型無關。在恢復期間,所有組的估計EOC都遠大于積累的氧氣赤字(DO2),而小鮭魚的EOC明顯較大。盡管小鮭魚的EOC幅度更大,但不同體型的魚在恢復時間(恢復期)上沒有差異。較大的EOC表明,H2S暴露對小鮭魚恢復階段的影響更大,且暴露于H2S可能使魚在暴露后更容易受到其他應激源的影響。
相關新聞