熱線:021-66110810,66110819
手機:13564362870

熱線:021-66110810,66110819
手機:13564362870
研究簡介:本文研究了死海中由淡水泉引起的鹽度梯度對硫酸鹽還原和硫化物氧化過程的影響。死海是一個超咸水體,由于人類活動,其水位和化學性質在過去幾十年中發生了顯著變化。最近在死海中發現了豐富的微生物墊,主要由硫氧化細菌構成。這些微生物墊的存在與淡水泉的流出有關,泉水降低了周圍環境的鹽度,并提供了有機物和硫化物。研究通過同位素分析發現,泉水中的硫化物和硫酸鹽存在顯著的同位素分餾,表明活躍的硫酸鹽還原作用。然而泉水沉積物中的硫酸鹽還原速率較低,不足以解釋觀測到的硫化物通量,暗示大部分硫化物可能在泉水的地下流動路徑中產生。此外,死海沉積物中的硫酸鹽還原速率高于泉水沉積物,表明死海中存在適應極端環境的硫酸鹽還原細菌群落。研究人員還探討了不同微生物墊中硫酸鹽還原細菌和硫氧化細菌的群落結構,發現這些結構受到微環境鹽度的影響。研究結果表明,死海中硫化物的主要來源是泉水的地下流動路徑,而泉水表面沉積物中的硫酸鹽還原作用有限,可能是由于鹽度的極端變化限制了當地的硫酸鹽還原速率。這項研究提供了對極端環境中微生物活動和適應機制的新見解。
Unisense微電極測定系統的應用
Unisense水下原位分析儀被應用于測量死海中不同微生物墊的化學環境,特別是硫化物(H2S)、氧氣(O2)、pH等參數。傳感器被安裝在自動剖面登陸器上,以便在沉積物-水界面處進行測量,記錄深度剖面數據,空間分辨率達到100微米。這些數據對于理解硫酸鹽還原細菌(SRB)和硫氧化細菌(SOB)的活性和分布至關重要,因為這些微生物過程與硫循環和能量轉換直接相關。通過這些原位測量,研究人員能夠詳細描述了微生物墊中的化學梯度,這對于理解微生物墊中硫氧化和硫酸鹽還原的活性至關重要。在WhMat1微生物墊中,通過微傳感器測量發現,鹽度在微生物墊上方開始急劇下降,pH值從6.1增加到6.6,氧化還原電位和氧氣濃度在微生物墊表面急劇下降,硫化物在2毫米的氧化區內被消耗,表明直接的硫化物氧化作用。
實驗結論
研究結果表明,死海中由淡水泉提供的硫化物主要是生物起源的,這一點從泉水中硫化物和硫酸鹽之間高達39%至50%的同位素分餾中得到證實,這種高分餾通常只在細菌硫酸鹽還原過程中出現。在死海沉積物中檢測到了硫酸鹽還原細菌(SRB)的存在,但其硫酸鹽還原速率(SRR)相對較低,這表明死海中的SRB群落適應了極端環境,但可能受到有機質供應限制。死海中的硫化物主要由硫氧化細菌(SOB)在泉水與死海水界面處通過氧氣氧化消耗,這一過程提供了比硫酸鹽還原更多的能量,有助于SOB群落的生存和高生物量積累。泉水造成的局部鹽度降低和外部硫化物供應是SOB高生物量的主要驅動因素。不同微生物墊中SRB和SOB群落結構的差異可能由不同位置的平均鹽度決定,這些鹽度差異可能是由于不同區域沉積物滲透性的差異,影響了泉水的輸入和鹽度降低。
圖1、死海和純泉水樣本中硫化物和硫酸鹽的同位素組成。誤差條代表同一點的三次重復樣本之間的變化。硫酸鹽的變化很小,并包含在符號內。
圖2、顯示水下泉水中發現的不同微生物群落的圖像。WhMat1(a)和DMat(b)覆蓋了幾平方米的沉積物,(c)WhMat2和(d)Mat4。
圖3、顯示研究微生物群落中硫酸鹽還原細菌(SRB)和硫氧化細菌(SOB)序列頻率的圖表,以及死海(DS Ref)沉積物(上部)。下部顯示每個樣本中檢測到的屬的相對序列頻率。
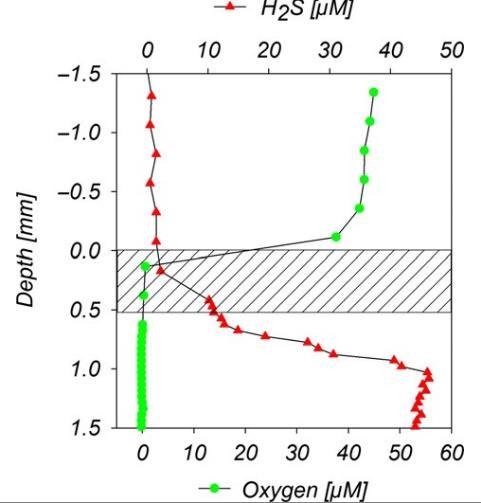
圖4、在WhMat1微生物群落中原位測量的微傳感器剖面(a和b)和死海參考站點(c和d)。陰影區域(a和b)對應微生物群落的位置,而線條(c和d)表示沉積物表面。低鹽度傳感器僅能測量高達70 g L 1的鹽度,超過這個鹽度會超出范圍。
圖5、在WhMat2微生物群落中垂直懸崖上測量的H2S和氧微傳感器剖面,泉水流經過并行。陰影區域表示生物膜的位置。
結論與展望
本研究深入探討了死海淡水泉形成的極陡鹽度梯度中的硫酸鹽還原和硫化物氧化過程,揭示了微生物在極端環境中的適應性和硫循環的重要性。研究結果表明,死海中的硫化物主要來源于生物過程,特別是細菌硫酸鹽還原,這一點通過泉水中硫化物和硫酸鹽之間顯著的同位素分餾得到證實。硫酸鹽還原速率在泉水沉積物中較低,而在死海沉積物中相對較高,表明死海中存在適應極端環境的硫酸鹽還原細菌群落。研究還發現,死海中的硫氧化細菌群落主要依賴于泉水供應的硫化物,這些硫化物在泉水與死海水界面處被氧化。Unisense水下原位分析儀在本研究中發揮了重要作用,它提供了對微生物墊中化學環境的直接測量,包括硫化物、氧氣、pH值和氧化還原電位等關鍵參數。這些參數對于理解硫酸鹽還原細菌和硫氧化細菌的活性和分布至關重要。
通過使用Unisense微電極剖面分析系統,研究人員能夠在微觀尺度上解析沉積物-水界面、生物膜等的化學濃度梯度,從而獲得高空間精度和高分辨率的數據。這些數據使研究人員能夠深入研究常規方法無法分辨的小尺度過程和作用機理,如好氧厭氧界面、硝化作用和反硝化作用的分布等。本研究不僅增進了對死海中硫循環過程的理解,而且展示了Unisense水下原位分析儀在極端環境微生物生態學研究中的應用價值,為未來在類似極端環境中的微生物生態和生物地球化學過程研究提供了重要的技術和方法。
相關新聞