熱線:021-66110810,66110819
手機:13564362870

熱線:021-66110810,66110819
手機:13564362870
Rice acclimation to soil flooding: Low concentrations of organic acids can trigger a barrier to radial oxygen loss in roots
水稻對土壤淹水的適應:低濃度有機酸可觸發根系徑向氧損失屏障
來源:Plant, Cell & Environment, Volume 42, 2019, Pages 2183-2197《植物、細胞與環境》,第42卷,2019年,2183-2197頁
摘要:
摘要指出,水淹土壤中含有厭氧微生物產生的單羧酸(有機酸),這些酸可積累到植物毒性水平,并促進濕地物種根系徑向氧損失(ROL)屏障的發展。本研究測試了低濃度有機酸(乙酸、丙酸、丁酸、己酸)可能誘導水稻根系ROL屏障形成的假設。結果發現,每種有機酸單獨均能觸發ROL屏障,但對根系伸長影響很小或沒有影響。一些與木栓質生物合成相關的基因轉錄本增加。根系呼吸沒有或僅中度抑制,但超過一定濃度后呼吸呈指數下降。EC50(抑制50%呼吸的有效濃度)順序為丁酸、丙酸、乙酸、己酸。研究揭示了有機酸作為環境信號觸發根系適應性反應的機制,有助于理解植物淹水耐受的分子調控。
研究目的:
研究目的是評估低濃度有機酸是否誘導水稻根系ROL屏障形成,并探討其分子機制。具體包括測試有機酸對ROL屏障的觸發作用、對根系生長的影響、相關基因表達變化,以及確定有機酸的毒性閾值,以區分亞毒性濃度和毒性效應。
研究思路:
研究思路通過三個實驗進行:實驗1測量根系呼吸對有機酸濃度的劑量反應,以確定EC50;實驗2(主實驗)將水稻暴露于不同濃度有機酸中4天,測量根系伸長、ROL模式、基因轉錄本豐度、根系解剖結構等;實驗3測試pH變化對ROL的影響,以排除酸度干擾。使用Unisense MicroResp系統測量O2消耗速率,鉑電極測量ROL,組織化學染色分析木栓質和木質素沉積,qPCR分析基因表達。
測量的數據及研究意義:
1. 根系呼吸速率對有機酸濃度的劑量反應:數據顯示呼吸隨濃度增加呈指數下降,EC50值確定毒性順序為丁酸(1.22 mM)<丙酸(1.78 mM)<乙酸(2.12 mM)<己酸(2.68 mM)。研究意義在于量化有機酸的相對毒性,為區分亞毒性和毒性濃度提供基準,幫助設計后續實驗。數據來自Figure 1。

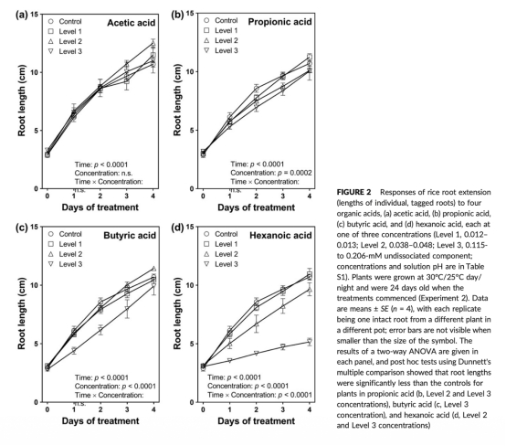
2. 根系伸長速率:有機酸處理4天后,乙酸對伸長無影響,丙酸(Level 2和3)、丁酸(Level 3)和己酸(Level 2和3)顯著抑制伸長。研究意義在于評估有機酸對生長的亞毒性影響,確保ROL屏障誘導非毒性副作用所致。數據來自Figure 2。

3. 徑向氧損失(ROL)沿根系分布:低濃度有機酸(Level 2)處理后,根系基部(40-60 mm處)ROL顯著降低,而根尖(5 mm處)無變化,表明ROL屏障誘導。研究意義在于證實有機酸作為環境信號觸發根系適應性結構變化,增強內部通氣能力。數據來自Figure 3和Figure 4。


4. 基因轉錄本豐度:有機酸處理24小時后,木栓質相關基因(如CYP86A11、CYP86B3、GPAT、RCN1)轉錄本在丙酸和丁酸處理中增加,木質素相關基因(CADL、OsCCR10)在己酸處理中增加。研究意義在于揭示ROL屏障形成的分子基礎,顯示有機酸特異性調控基因表達。數據來自Figure 5和Figure 6。


5. 根系解剖結構:組織化學染色顯示,有機酸處理后的根系木栓質和木質素沉積在皮層和外皮層無顯著變化,與對照相似。研究意義在于表明屏障誘導可能涉及細微結構變化,而非大規模沉積,與短期響應一致。數據來自Figure 7和Figure 8。


6. 根系孔隙度:所有處理中根系氣體孔隙度無顯著差異。研究意義在于排除孔隙度變化對ROL影響的干擾,突出屏障結構的作用。
7. 植物生長參數:地上部和根系干重、相對生長率在有機酸處理中無顯著變化。研究意義在于確認低濃度有機酸不引起整體生長抑制,支持其作為特異性信號。
結論:
研究得出結論,低濃度有機酸(0.038-0.048 mM未解離形式)能觸發水稻根系ROL屏障誘導,這是一種適應性反應,有助于提高淹水條件下的內部通氣和毒素防御。有機酸的毒性順序為丁酸最強,己酸最弱。基因表達變化支持木栓質生物合成在屏障形成中的作用,而解剖變化不明顯。結果表明有機酸是重要的環境信號,但不支持pH變化為主要觸發因素。研究為植物淹水耐受機制提供了新見解。
使用丹麥Unisense電極測量數據的研究意義:
使用丹麥Unisense電極(具體為MicroResp系統)測量根系O2消耗速率(呼吸作用),具有重要研究意義。該系統通過高精度O2微傳感器實時監測溶液中O2濃度變化,能準確量化根系呼吸速率。在實驗中,電極數據用于評估有機酸對根系代謝的直接影響(實驗1)和長期暴露后的根系健康(實驗2)。研究意義在于:首先,提供可靠的毒性閾值(EC50),幫助區分有機酸的亞毒性和毒性濃度,確保后續實驗使用非抑制性濃度;其次,呼吸測量驗證了有機酸在低濃度下僅引起中度抑制,支持ROL屏障誘導非毒性副作用所致;最后,電極的高靈敏度允許檢測細微代謝變化,增強了實驗的嚴謹性,為理解有機酸作為環境信號的生理效應提供了關鍵證據。