熱線:021-66110810,66110819
手機:13564362870

熱線:021-66110810,66110819
手機:13564362870
Sulfur cycling in freshwater sediments: A cryptic driving force of iron deposition and phosphorus mobilization
淡水沉積物中硫的循環鐵沉積和磷遷移的神秘驅動力
來源:Science of the Total Environment 657 (2019) 1294–1303
論文摘要
本研究探討了淡水沉積物中硫循環對鐵沉積和磷遷移的潛在驅動作用。通過向富含鐵的淡水沉積物中添加乙酸鹽和不同濃度硫酸鹽(1.5-3.0 mmol L?1)進行中宇宙實驗,發現乙酸鹽添加誘導缺氧并提供底物,顯著刺激了硫循環(SO?2?下降,ΣS2?和S?增加)和硫酸鹽還原菌(SRB)的生長。同時,鐵還原菌(IRB)的生長受到抑制,微生物鐵還原(MIR)被SRB活動阻斷,而硫化物介導的化學鐵還原(SCIR)成為主導的鐵還原途徑,導致Fe(III)氧化物持續溶解并生成鐵硫化物(如FeS),Fe(II)被埋藏而非釋放到水柱。這種鐵循環向單向SCIR的轉變導致沉積物中磷結合能力下降,PO?3?濃度顯著升高,促進了磷的遷移。值得注意的是,即使沒有檢測到ΣS2?,鐵硫化物仍持續積累,表明ΣS2?在擴散前即發生沉淀,形成了“隱蔽”的硫循環。研究表明,即使在當前太湖硫酸鹽水平下,硫循環也能驅動鐵還原途徑的轉變和磷釋放,且硫酸鹽濃度升高會顯著強化這一過程。
研究目的
本研究旨在:
揭示淡水沉積物中硫循環的存在及其強度,挑戰傳統認為淡水系統中硫循環次要的觀點。
闡明硫循環如何影響鐵循環(特別是鐵還原途徑從微生物主導轉向化學主導)和磷的遷移性。
探究乙酸鹽添加(模擬有機物輸入)和不同硫酸鹽濃度對上述過程的調控作用。
為富營養化淡水生態系統(如太湖)中硫驅動的鐵沉積和磷釋放提供直接證據和機制解釋。
研究思路
研究采用了“受控中宇宙實驗 + 多參數高頻監測 + 機理驗證”的思路:
實驗設計:設置4組中宇宙實驗裝置,填充太湖沉積物和湖水,添加乙酸鹽作為有機碳源,并設置4個硫酸鹽梯度(1.5S, 2.0S, 2.5S, 3.0S)。通過控制變量探究乙酸鹽和硫酸鹽的單獨及聯合效應。
高頻監測:在19天的孵育期內,高頻監測上覆水和孔隙水中的溶解態參數(SO?2?, ΣS2?, Fe(II), PO?3?, DOC/DIC等)、沉積物固相成分(AVS, Pyrite-S, S?, Fe-P, 鐵氧化物等)以及微生物群落結構(16S rRNA測序和dsrB基因定量)。
原位測量:使用丹麥Unisense微電極系統原位、高分辨率地測量沉積物剖面的溶解氧(DO)和氧化還原電位(ORP),為揭示反應發生的微環境提供關鍵證據。
機理分析:通過關聯硫、鐵、磷化學參數的動態變化與微生物群落演替,并結合熱力學計算,闡明SRB對IRB的競爭性抑制、SCIR的主導地位及其對磷遷移的驅動機制。
測量數據及其研究意義(注明來源)
研究測量了多方面的數據,其意義和來源如下:
溶解碳動態(DTC, DOC, DIC):
意義:證實乙酸鹽添加后被快速消耗,導致系統迅速進入缺氧狀態,為后續還原反應創造條件。

來源:數據見圖1。
DO與ORP微剖面:
意義:直接證實沉積物快速形成并維持缺氧/還原環境。ORP的深度反常分布(表層低于深層)表明表層沉積物微生物活動最活躍。

來源:數據見圖2;使用丹麥Unisense微電極測量。
孔隙水/上覆水化學(SO?2?, ΣS2?, Fe(II), PO?3?):
意義:核心發現。SO?2?下降和ΣS2?初期升高證實了強烈的硫酸鹽還原作用。Fe(II)濃度先升后降且峰值隨硫酸鹽升高而降低,證明MIR被抑制且抑制程度與硫酸鹽濃度正相關。PO?3?濃度持續上升且與硫酸鹽濃度正相關,直接證明SCIR主導的鐵還原促進了磷的釋放。


來源:上覆水數據見圖3;孔隙水深度剖面見圖4。
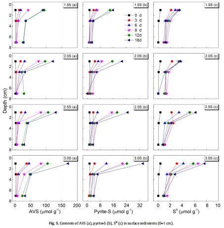
沉積物固相硫、鐵、磷含量:
意義:AVS、黃鐵礦硫和S?的積累(圖5)是“隱蔽”硫循環的直接證據,表明生成的ΣS2?迅速沉淀。Fe-P和鐵氧化物含量的下降(表1)證明了SCIR導致的持續溶解和磷的釋放。


來源:沉積物硫形態見圖5;鐵磷含量見表1。
微生物群落結構與SRB豐度:
意義:SRB(如Desulfobulbus)相對豐度和絕對數量(dsrB基因拷貝數)顯著增加,而IRB(如Geobacter)豐度下降(圖6, 圖7),從生物學角度證明了SRB對IRB的競爭性抑制,是MIR被阻斷的根本原因。


來源:微生物群落見圖6;SRB豐度見圖7。
研究結論
硫循環的重要性:即使在硫酸鹽濃度相對較低的淡水沉積物中,有機質輸入(乙酸鹽)也能刺激強大的、以SRB為核心的硫循環,其強度被傳統孔隙水ΣS2?測量所低估(“隱蔽”循環)。
鐵還原途徑的轉變:SRB活動競爭性抑制了IRB,阻斷了MIR途徑。硫化物介導的化學鐵還原(SCIR)成為鐵還原的主要途徑,導致Fe(III)氧化物被不可逆地溶解并轉化為鐵硫化物沉淀,鐵循環從雙向(氧化-還原)變為單向(還原-沉淀)。
磷釋放的驅動機制:SCIR過程持續溶解鐵氧化物,導致與之結合的磷(Fe-P)被釋放出來。同時,新形成的鐵硫化物對磷的吸附能力遠低于鐵氧化物,最終導致孔隙水和上覆水中PO?3?濃度顯著升高,促進了磷的內部負荷釋放。
硫酸鹽的放大效應:更高的硫酸鹽濃度會進一步刺激SRB活性和SCIR強度,導致更顯著的鐵氧化物溶解和磷釋放。
管理啟示:在治理富營養化湖泊時,需關注外源硫酸鹽輸入和有機質負荷,因為它們可能通過驅動這種“硫-鐵-磷”耦合過程,加劇內源磷污染,形成惡性循環。
使用丹麥Unisense電極測量數據的研究意義詳細解讀
在本文中,丹麥Unisense公司的微電極系統被用于原位測量沉積物剖面溶解氧(DO)和氧化還原電位(ORP)的垂直分布(數據見圖2)。
詳細研究意義如下:
提供高分辨率原位環境證據:Unisense微電極能夠以毫米級的高分辨率原位測量DO和ORP,避免了采樣擾動。數據清晰顯示,乙酸鹽添加后,整個沉積物剖面的DO迅速降至極低水平(<4 μmol L?1),ORP也急劇下降(圖2)。這為后續的硫酸鹽還原、鐵還原等厭氧生物地球化學過程的發生提供了不可或缺的、精確的微環境證據。
揭示異常的氧化還原梯度:傳統的認知是沉積物ORP隨深度增加而降低。然而,Unisense測量的ORP剖面顯示,在實驗初期(0-10天),表層沉積物(0-1 cm)的ORP低于深層(圖2b)。這種“反?!钡拇怪狈植寄J奖砻?,表層沉積物發生了最強烈的有機質分解和還原反應**,微生物活動(尤其是SRB)在表層最為活躍。這一發現直接挑戰了傳統認知,為闡釋SRB在表層的競爭優勢和快速啟動硫循環提供了關鍵支撐。
關聯硫酸鹽濃度與還原強度:Unisense數據表明,更高硫酸鹽濃度的處理組,其ORP的下降更劇烈且后續恢復更緩慢(圖2b)。這證明硫酸鹽添加增強了系統的整體還原強度,并且這種增強效應是持續性的。它將化學數據(SO?2?消耗,ΣS2?生成)與微生物數據(SRB豐度)聯系起來,形成了完整的證據鏈,表明硫酸鹽濃度是調控系統還原強度和硫循環強度的關鍵因子。
界定反應熱點區域:高分辨率的DO和ORP剖面幫助確定了生物地球化學反應的主要發生區域(即沉積物表層0-1 cm)。這解釋了為何固相硫化物(AVS等)主要積累在表層(圖5),以及為何表層沉積物的微生物群落變化最顯著(圖6, 圖7)。微電極數據使機理解釋能夠落實到具體的空間尺度上,增強了研究的深度和說服力。
綜上所述,使用Unisense微電極獲得的DO和ORP微剖面數據,為本研究論證有機質輸入導致沉積物快速厭氧化、表層是硫循環和鐵還原反應的熱點以及硫酸鹽濃度對還原環境的增強效應提供了最直接、最可靠的原位證據。它將“條件”與“反應”緊密聯系在一起,是闡明整個“硫-鐵-磷”耦合過程機制的核心環節之一。