熱線:021-66110810,66110819
手機:13564362870

熱線:021-66110810,66110819
手機:13564362870
Combined effects of oxygen and temperature on nitrogen removal in a nitrate-rich ex-paddy wetland
氧氣和溫度對富含硝酸鹽的前水稻濕地脫氮的綜合影響
來源:Science of the Total Environment 779 (2021) 146254
一、摘要概述
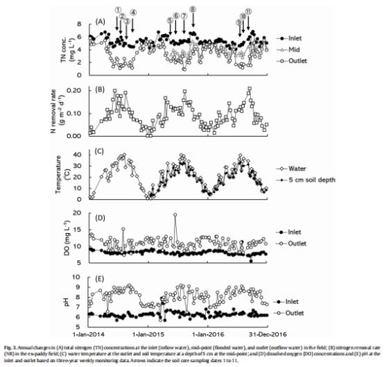
本研究通過三年田間監測,結合土壤巖心氧微剖面測量,揭示了富硝酸鹽(NO??)棄耕稻田濕地中溶解氧(DO)與溫度對氮去除率(NR)的聯合影響。核心發現包括:
氧滲透深度(OPD):觀測到異常深的OPD(最深42.9 mm),并發現地下氧飽和層("O?-max層",OML),證實光合微生物棲息地的存在(圖4)。

氮去除機制:NR主要通過亞表層厭氧層反硝化實現(平均332 kg N ha?1 year?1),洪水DO濃度與溫度分別對NR產生負/正影響(圖3B, 圖6)。


微生物作用:微生物光合作用常年活躍,增加土壤碳庫(TC↑),支撐長期氮去除(>20年)。
管理建議:周期性裸土(無植被遮蔭)管理可優化NR。
二、研究目的
闡明O?與溫度的交互作用:量化DO(尤其光合微生物供氧)和溫度對NR的影響機制,填補自然條件下富NO??淹沒土壤研究的空白。
解析OPD的生態意義:探究異常深OPD的成因及其對反硝化的調控作用。
評估yatsu濕地可持續管理:為日本"yatsu"河岸濕地(棄耕稻田)的氮污染治理提供策略。
三、研究思路
采用 "長期田間監測 + 土壤巖心高分辨率分析" 方法:
實驗設計:
場地:日本茨城縣Ami的棄耕稻田濕地(35°59′N, 140°16′E),長期裸土管理(圖1)。

監測周期:2014–2016年,每周水質監測 + 11次專項采樣(測O?微剖面)。
關鍵測量:
水質/水量:TN、NO??、DO、pH、溫度、水流速率(圖3)。
O?微剖面:使用Unisense微電極測土壤OPD(OPD?.?、OPD?.??)和OML(圖4)。
反硝化活性(DA):分層(好氧/厭氧層)測定乙炔抑制法。
數據分析:
相關性分析(表1, 表2)與多元回歸建模(NR = 0.149N輸入 + 0.00347溫度 - 0.00798DO + 0.090)(圖6)。


四、關鍵數據及研究意義
1. 氧滲透深度(OPD)與O?-max層(OML)(圖4, 圖5)

數據來源:Unisense電極測量的O?微剖面(圖4),OPD?.?(DO=1.0 mg L?1深度)、OPD?.??(DO=0.01 mg L?1深度)。
結果:
OPD?.?最深27.1 mm,OPD?.??最深42.9 mm,遠高于文獻值(通常<10 mm)。
發現OML(DO飽和平臺層,最深4.2 mm),指示地下光合微生物棲息地(圖4B.2)。
意義:修正OPD僅作為"NO??擴散屏障"的傳統認知,揭示其同時是光合微生物的生態位。
2. 氮去除率(NR)與環境因子(圖3, 表1)
數據來源:周監測TN平衡(式2)、溫度、DO(圖3),多元回歸(圖6)。
結果:
NR與溫度正相關(r=0.776**)、與DO負相關(r=-0.512)(表2)。
溫度每升1°C → NR增0.00347 g N m?2 d?1;DO每升1 mg L?1 → NR降0.00798 g N m?2 d?1(式4)。
意義:量化O?-溫度對NR的拮抗效應,為模型預測提供參數。
3. 反硝化活性(DA)分層差異
數據來源:好氧層(0–OPD?.?)vs. 厭氧層(>OPD?.??+10 mm)DA測定。
結果:厭氧層DA(16.6 μg N g?1 d?1)是好氧層(1.2 μg N g?1 d?1)的53倍。
意義:證實厭氧層是NR主力,需分層采樣以避免低估DA。
4. 土壤碳氮動態(方法2.7)
數據:好氧層TC(44 g C kg?1)>厭氧層(40 g C kg?1),C/N≈7。
意義:微生物光合作用提升土壤碳庫,支撐長期NR(20年裸土仍維持高TC)。
五、結論
溫度與O?的拮抗效應:溫度↑→擴大厭氧區→促進反硝化;DO↑(尤其光合作用驅動)→擴大OPD→抑制NO??擴散至厭氧層。
微生物光合作用的核心角色:
維持地下OML,導致超常OPD。
提供有機碳支撐反硝化,使裸土濕地20年持續除氮。
管理啟示:yatsu濕地采用 周期性裸土(無植被遮蔭)+ 定期除草,可維持高溫(↑NR)與高土壤碳庫(↑微生物活性)。
六、丹麥Unisense電極數據的詳細解讀
1. 技術原理與實驗設計
原理:
Unisense OX-N微電極:Clark型傳感器,檢測限0.01 mg L?1,垂直分辨率0.2 mm(方法2.4)。
原位測量:直接插入未擾動土壤巖心,實時獲取O?微剖面(圖2)。

設計:
空間分層:區分好氧層(OPD?.?以上)、過渡層(OPD?.?–OPD?.??)、厭氧層(OPD?.??以下)。
時間動態:11次采樣覆蓋溫度梯度(0.8–40.4°C),捕捉季節變化。
2. 關鍵發現與科學意義
發現1:OPD的溫度依賴性(圖5B)
數據:溫度↑→OPD↓(e.g., 32°C時OPD比9°C時淺50%)。
機制:溫度升→土壤呼吸(O?消耗)↑→氧滲透深度收縮。
意義:揭示溫度通過調控OPD間接影響NR,補充實驗室無光合作用體系的結論(de Klein et al., 2017)。
發現2:OPD的DO依賴性(圖5A)
數據:洪水DO↑→OPD↑(e.g., DO=11.5 mg L?1時OPD比DO=9.2 mg L?1時深4倍)。
機制:高DO增強O?向下擴散,擴大好氧區。
意義:首次在田間證實光合微生物通過提升DO深化OPD,抑制NR。
發現3:O?-max層(OML)的存在(圖4)
數據:土壤表層0–4.2 mm存在DO飽和平臺(OML),DO濃度恒定(圖4B.2)。
機制:光合微生物在地下產O?,平衡O?消耗。
意義:推翻"O?僅靠擴散進入土壤"的假設,揭示地下光合生態位。
3. 研究意義
方法論創新:Unisense電極實現 原位、高分辨率O?監測,克服傳統破壞性采樣的局限,為土壤微生態研究提供技術標桿。
生態機制突破:
明確OPD在光合系統中的雙重角色(擴散屏障 + 微生物棲息地)。
為濕地NR預測引入DO與溫度的定量耦合模型(式4)。
應用價值:支撐yatsu濕地"裸土管理"建議,為全球富氮濕地修復提供范例。
總結
本研究通過Unisense電極揭示富硝酸鹽濕地中氧動態的復雜性:溫度與溶解氧通過調控OPD深度,以拮抗方式影響氮去除。微生物光合作用形成的O?-max層導致異常深OPD,同時提供碳源維持長期反硝化。周期性裸土管理可平衡溫度促進效應與DO抑制效應,為河岸濕地氮污染治理提供優化路徑。Unisense電極數據的關鍵價值在于 原位解析土壤氧微環境,推動濕地生物地球化學過程研究進入高分辨率時代。