熱線:021-66110810,66110819
手機:13564362870

熱線:021-66110810,66110819
手機:13564362870
A Novel Measurement-Based Model for Calculating Diffusive Fluxes Across Substrate-Water Interfaces of Marine Aggregates, Sediments and Biofilms
一種基于測量的新型模型用于計算海洋聚集體、沉積物和生物膜底物-水界面的擴散通量
來源:Frontiers in Marine Science, volume 8, article 689977, 2021
《海洋科學前沿》第8卷 文章編號689977 2021年
摘要內容
提出了一種新型計算模型("Derivative-Max"),用于通過微傳感器測量的濃度剖面自動同步確定底物-水界面位置并精確計算溶解氣體/溶質的擴散通量。該模型基于質量傳遞方程推導的界面判據(d2C/dz2=0),利用雙曲正切函數擬合剖面數據,無需預先指定界面位置或假設底物幾何形狀,顯著降低了傳統方法的主觀性誤差,并在低分辨率、噪聲數據中表現出魯棒性。
研究目的
1. 開發一種客觀、自動化的方法同步確定底物-水界面位置和擴散通量。
2. 消除傳統方法對底物幾何形狀(如球形假設)和反應類型的依賴。
3. 提升低空間分辨率或含噪聲數據的通量計算準確性,適用于深海自主觀測平臺。
研究思路
1. 理論推導:基于質量傳遞方程提出界面判據,即界面處濃度二階導數為零,對應一階導數(濃度梯度)極值點。
2. 模型構建:設計兩種擬合函數——標準雙曲正切函數和扭曲雙曲正切函數,分別適用于平滑和復雜剖面。
3. 模型驗證:
? 使用Unisense微電極實測的O?剖面數據(圖1A-E:藍藻/硅藻聚集體;圖2:14種下沉聚集體;圖5:海底沉積物)。
? 對比傳統"Sphere模型"(Ploug et al., 1997)的通量計算結果(圖3)。




4. 魯棒性測試:降低數據分辨率(圖6B-C)和添加噪聲(圖6D),驗證模型穩定性。

測量數據及研究意義
1. O?濃度剖面(圖1、圖2、圖5):
? 來源:丹麥Unisense微電極(尖端2–10 μm)在聚集體(藍藻、硅藻)和沉積物中測量。
? 意義:量化底物-水界面附近的濃度梯度變化,為模型擬合提供基礎。
2. 界面位置與通量對比(圖3):
? 來源:Derivative-Max模型與Sphere模型對14組剖面數據的計算結果。
? 意義:揭示傳統方法因幾何假設導致通量平均高估21%,界面位置偏移(圖3B)。
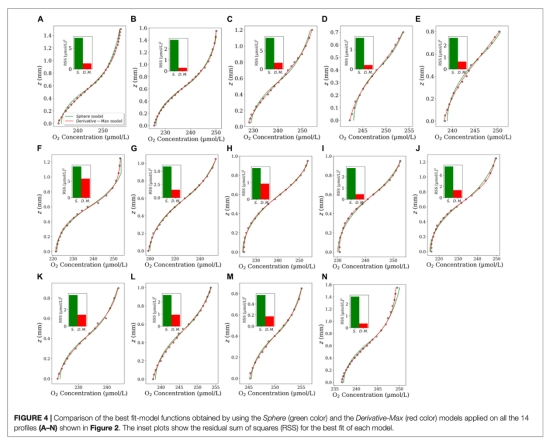
3. 擬合殘差分析(圖4):

? 來源:兩種模型對相同剖面的擬合優度對比。
? 意義:Derivative-Max模型顯著降低殘差平方和(RSS),證明其更準確表征實際濃度分布。
4. 魯棒性測試數據(圖6B-D):
? 來源:人為降低分辨率或添加噪聲的剖面。
? 意義:模型在數據質量下降時仍保持穩定,適用于深海原位測量(如500 μm粗分辨率數據)。
丹麥Unisense電極數據的核心研究意義
1. 毫米級氧化還原解析:電極尖端尺寸(2–10 μm)可捕捉底物-水界面附近的陡峭濃度梯度(如圖1A中O?在<1 mm內耗盡),為驗證"界面處濃度梯度最大"的理論判據提供關鍵證據。
2. 界面定位客觀化:傳統方法依賴顯微鏡或主觀判斷界面位置(圖7A-B),而Unisense數據結合Derivative-Max模型通過數學判據(d2C/dz2=0)自動定位,消除人為偏差。

3. 通量計算標準化:高分辨率數據支撐雙曲正切函數擬合(圖1-2),直接輸出通量值(J? = D? × maxdC/dz
),無需依賴底物形狀或反應速率假設。
4. 深海應用潛力:驗證模型在低分辨率(圖6B-C)和噪聲數據(圖6D)中的穩定性,為無人平臺(如底質爬行者)長期監測海底通量提供可靠工具。
結論
1. 模型優勢:Derivative-Max模型通過數學判據自動同步確定界面位置和通量,消除傳統方法的主觀性和幾何假設限制,提升準確性(圖3-4)。
2. 普適性驗證:成功應用于聚集體(圖1-2)和沉積物(圖5-6),支持多種溶質(O?、NH??、NO??;圖8)的通量計算。

3. 魯棒性:在低分辨率(圖6B-C)和高噪聲數據(圖6D)中保持穩定,適用于深海自主觀測平臺。
4. 應用前景:該模型可集成至自主平臺,優化深海通量監測策略(如根據通量變化觸發高分辨率采樣)。