熱線:021-66110810,66110819
手機:13564362870

熱線:021-66110810,66110819
手機:13564362870
Foraminiferal Mn/Ca as Bottom-Water Hypoxia Proxy: An Assessment of Nonionella stella in the Santa Barbara Basin, USA
底棲有孔蟲Mn/Ca作為底層水缺氧指標:美國圣巴巴拉盆地Nonionella stella的評估
來源:Paleoceanography and Paleoclimatology, Volume 36, 2021, Article e2020PA004167
《古海洋學與古氣候學》第36卷,2021年,文章編號e2020PA004167
摘要內容:
該研究探討了底棲有孔蟲殼體錳鈣比值(Mn/Ca)作為底層水缺氧指標的可行性。以圣巴巴拉盆地(SBB)為研究對象,結合分子形態學方法鑒定出新的有孔蟲基因型Nonionella sp. T6(與N. stella形態相似)。通過同步輻射X射線熒光(XRF)納米成像和離子束痕量元素分析(SIMS),測量了有孔蟲殼體Mn/Ca與底層水溶解氧([O?] <10 μmol/L)及孔隙水錳濃度的關系。結果顯示,盡管種內和種間Mn/Ca變異性較高(33%和58%),且Mn分配系數(D_Mn <0.05)表明其低錳結合能力,但Mn/Ca與孔隙水Mn和底層水[O?]均顯著相關。然而,亞氧化條件下狹窄的氧梯度(2.7–9.6 μmol/L)和孔隙水Mn梯度(2.12–21.59 μmol/L)限制了該指標的敏感性。
研究目的:
評估底棲有孔蟲N. stella的Mn/Ca比值作為底層水缺氧指標的可靠性,并在現代低氧環境中校準其與溶解氧和沉積物氧化還原條件的關系。
研究思路:
1. 樣本采集:在圣巴巴拉盆地三個低氧站點(水深420–567 m)采集沉積物巖芯和底層水樣本,測量原位溶解氧(丹麥Unisense微電極)和孔隙水金屬濃度。
2. 物種鑒定:結合形態學(SEM成像)和分子生物學(SSU rDNA測序)確認研究對象為N. stella的新基因型T6。
3. 地球化學分析:
? 同步輻射XRF繪制殼體Mn/Ca空間分布(圖4)。

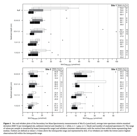
? SIMS分析殼體不同腔室的痕量元素(Mn, Mg, Sr)(圖5)。

? 分光光度法測定孔隙水溶解Mn/Fe(圖2)。

4. 數據關聯:將Mn/Ca與底層水[O?](圖1b, 2a)和孔隙水Mn(圖2b)進行統計相關性檢驗(圖6)。


測量數據及意義:
1. 孔隙水溶解Mn和Fe濃度(圖2b,c):
? 意義:反映沉積物氧化還原狀態,Mn峰值(21.59 μmol/L)指示活躍的錳還原梯度,為解釋有孔蟲Mn/Ca提供環境背景。
2. 底層水溶解氧([O?])(圖1b, 2a):
? 意義:量化底層水缺氧程度(2.7–9.6 μmol/L),是校準Mn/Ca指標的直接環境參數。
3. 有孔蟲殼體Mn/Ca比值(圖5):
? 意義:揭示種內/種間變異性(平均RSD 33%/58%),評估其作為缺氧指標的穩定性。
4. 殼體元素分布圖(圖4):
? 意義:XRF成像確認Mn存在于方解石晶格內(非次生涂層),支持SIMS數據的可靠性。
5. 遺傳序列數據:
? 意義:分子鑒定(GenBank MT591587-MT591588)確保研究對象分類學準確性,避免形態相似種的干擾。
丹麥Unisense微電極數據的詳細研究意義:
使用丹麥Unisense O?微電極(OX-500)在沉積物-水界面(SWI)進行毫米尺度溶解氧剖面測量(圖2a)。其高分辨率(200 μm尖端)可精確捕捉溶解氧在沉積物中的滲透深度(<2 mm)和陡峭梯度。在圣巴巴拉盆地的亞氧化環境中([O?] <10 μmol/L),該數據直接證實了沉積物表層的強還原狀態,解釋了孔隙水Mn濃度低且分布異常的原因(如Site 2的Mn峰值與缺氧層對應)。這種高精度氧數據對理解微生物呼吸路徑(如錳還原)至關重要,是解析有孔蟲Mn/Ca與環境參數相關性的核心依據。
結論:
1. 分類學貢獻:確認SBB的N. stella為新基因型T6(分子系統發育樹圖3c)。

2. 指標局限性:N. stella的Mn分配系數低(D_Mn<0.05),殼體Mn/Ca變異性高,在狹窄氧梯度下作為缺氧指標敏感性有限。
3. 異常相關性:Mn/Ca與底層水[O?]呈正相關(圖6b),與常規缺氧指標預期相反,歸因于亞氧化條件下孔隙水Mn的復雜動態(如低氧時Mn氧化沉淀增加生物可利用性)。
4. 地質意義:強調在極端低氧環境中需結合多指標(如Fe/Ca)并擴展氧梯度范圍,以提升Mn/Ca在古缺氧重建中的可靠性。