熱線:021-66110810,66110819
手機:13564362870

熱線:021-66110810,66110819
手機:13564362870
N2O Reduction by Gemmatimonas aurantiaca and Potential Involvement of Gemmatimonadetes Bacteria in N2O Reduction in Agricultural Soils
赤色球形菌對 N2O 的還原作用及球形變形菌屬細菌在農業土壤中 N2O 還原過程中的潛在參與作用
來源:Microbes Environ. 37(2), 2022
摘要核心內容
本文首次系統研究了 Gemmatimonadetes門細菌(以模式菌株 Gemmatimonas aurantiaca為代表)在農業土壤中還原溫室氣體N?O的生理特性及生態功能。核心發現:
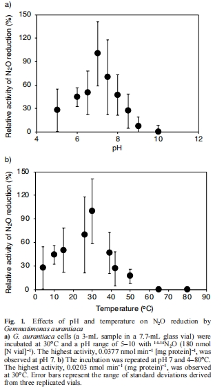
生理特性:G. aurantiaca在pH 5-9、溫度4-50°C范圍內均可還原N?O,最適條件為pH 7和30°C(圖1),對N?O的親和常數(K<sub>s</sub>)為4.4 μM(圖2),表明其在低N?O濃度土壤中高效工作。


土壤證據:4種農業土壤中Gemmatimonadetes的 nosZmRNA豐度與N?O還原速率顯著正相關(R2>0.91),特異性OTU91、OTU332和OTU122是關鍵功能菌群(表1)。

分子機制:Gemmatimonadetes細菌通過高親和力 nosZ(clade II型)基因介導N?O還原,其mRNA豐度是活性標志(圖4, 6)。


研究目的
解析生理特性:明確 G. aurantiaca的N?O還原酶活性受pH、溫度影響的規律及底物親和力。
驗證生態功能:探究農業土壤中Gemmatimonadetes細菌是否通過 nosZ表達參與N?O還原。
建立關聯模型:量化土壤N?O還原速率與Gemmatimonadetes功能基因豐度的相關性。
研究思路與技術路線
采用 純菌實驗→土壤驗證→分子關聯 的三步策略:
純菌水平:
測定 G. aurantiaca的N?O還原活性隨pH(5-10)、溫度(4-80°C)的變化(圖1)。
利用 丹麥Unisense微電極系統 實時監測N?O濃度動態,計算 K<sub>s</sub>(圖2)。
土壤尺度:
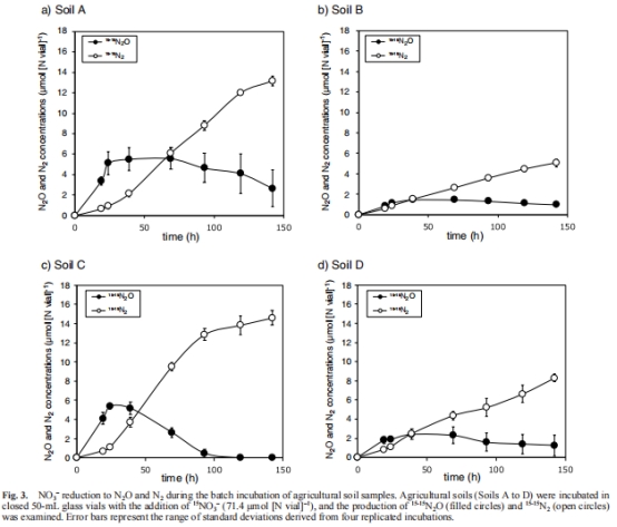
添加1?NO??至4種農業土壤,追蹤1?N?O和1?N?生成動力學(圖3)。

定量PCR(qPCR)檢測 nosZDNA/mRNA及16S rRNA基因豐度(圖4)。
分子關聯:
高通量測序分析 nosZmRNA的OTUs(圖6),建立其豐度與N?O還原速率的線性回歸模型(表1)。
關鍵數據、來源及研究意義
1. 生理特性數據(圖1, 圖2)
數據:
最適pH=7(活性0.0377 nmol min?1 mg?1蛋白),最適溫度=30°C(圖1a-b)。
K<sub>s</sub>=4.4 μM(圖2),表明對低濃度N?O的高親和力。
意義:揭示Gemmatimonadetes在寬環境范圍內維持N?O還原能力,解釋其在多變農業土壤中的適應性。
2. 土壤N?O動力學(圖3)
數據:土壤A-D的N?O還原速率分別為16.6, 5.0, 24.3, 9.5 nmol N g?1 h?1(圖3)。
意義:證實農業土壤是活躍的N?O匯,速率與中國稻田土壤相當(2.37–8.31 nmol N g?1 h?1),為減排策略提供基線。
3. 分子豐度與多樣性(圖4, 圖5, 圖6)

數據:
nosZmRNA豐度(2.23–4.31×10? copies g?1)顯著高于DNA(圖4),表明功能基因活躍表達。
OTU4572和OTU3759為優勢菌(圖5),OTU91/332/122與N?O還原速率強相關(R2>0.84)(表1)。
意義:首次建立 nosZmRNA水平與N?O還原的直接關聯,規避DNA分析對休眠菌的干擾。
4. 回歸分析(表1)
數據:nosZmRNA豐度與N?O還原速率 R2=0.91,而16S rRNA基因無相關性(R2=0.02)。
意義:證明 功能基因表達(非菌群存在)是驅動N?O還原的關鍵,為靶向調控提供依據。
核心結論
生理優勢:G. aurantiaca具有寬pH/溫度適應性和高底物親和力(K<sub>s</sub>=4.4 μM),是農業土壤N?O減排的潛力菌。
功能驗證:土壤中Gemmatimonadetes nosZmRNA豐度與N?O還原速率顯著正相關,OTU91/332/122為核心功能菌群。
分子標記:nosZmRNA是比16S rRNA或 nosZDNA更可靠的活性標記,建議用于土壤N?O匯能力評估。
Unisense電極數據的專項解讀
技術原理與部署
設備:丹麥Unisense微電極系統(N?O微傳感器N?O-MR + 微呼吸測量系統)。
方法:實時監測封閉反應室(圖2)中N?O濃度變化,采樣頻率1 Hz,空間分辨率50 μm。
數據分析:通過SensorTrace Suite軟件記錄動力學曲線,米氏方程擬合求 K<sub>s</sub>。
關鍵發現與機制解析
高親和力機制:
測得 K<sub>s</sub>=4.4 μM(圖2),顯著低于多數反硝化菌(0.3–100 μM)。
意義:首次量化Gemmatimonadetes對 低濃度N?O(土壤中通常<1 μM)的高效還原能力,解釋其在N?O“熱點”區(如施肥后)的競爭優勢。
實時動力學優勢:
傳統氣相色譜需間斷采樣,Unisense實現 秒級連續監測,精準捕捉N?O濃度瞬態變化(圖2曲線)。
意義:避免因采樣間隔導致的速率低估,為 K<sub>s</sub>計算提供高精度數據支撐。
研究意義
方法學創新:
克服傳統批次實驗的離散采樣局限,實現 原位、連續、無創 監測微生物代謝動力學。
生態機制闡釋:
明確 K<sub>s</sub>是Gemmatimonadetes搶占生態位的關鍵參數,指導菌株篩選與土壤接種策略。
應用潛力:
為優化施肥方案(如pH/溫度調控)提供理論依據,助力農業土壤“碳中和”。
總結
本研究通過Unisense微電極等多尺度技術,揭示了Gemmatimonadetes細菌在農業土壤N?O減排中的關鍵作用。其高底物親和力、寬環境適應性及活躍的 nosZ表達,使其成為土壤溫室氣體調控的新靶點。未來可基于 K<sub>s</sub>參數設計功能菌劑,結合 nosZmRNA監測優化田間管理。