熱線:021-66110810,66110819
手機:13564362870

熱線:021-66110810,66110819
手機:13564362870
Metagenomics reveals a full-scale modified integrated fixed-film activated sludge process: Enhanced nitrogen removal and reduced sludge production
宏基因組學揭示了一種全規模的改良集成固定膜活性污泥工藝:增強的氮去除和減少的污泥產量
來源:Science of the Total Environment 841 (2022) 156666
《總環境科學》第841卷2022年 文章編號156666
摘要
描述了本研究通過全規模比較傳統活性污泥(CAS)工藝和高濃度粉末載體生物流化床(HPB)工藝,發現HPB工藝的總氮去除效率比CAS高10.86%,主要通過增加厭氧氨氧化(anammox)和同步硝化反硝化(SND)途徑實現。HPB工藝的出水總氮穩定低于10 mg/L,且能更好地抵御工業廢水沖擊。同時,HPB工藝減少了污泥產量,因為更多能量和物質被用于載體附著和抵抗外部壓力以產生胞外聚合物(EPS),而非污泥增殖。對于一個10,000 m3/d的HPB污水處理廠,降低總氮和污泥產量可節省年運營成本110,369.64美元。
研究目的
通過比較全規模CAS和HPB工藝,揭示HPB工藝如何增強氮去除效率和減少污泥產量的機制,包括分析污泥結構、溶解氧(DO)梯度、EPS、氮去除途徑和微生物群落變化,并評估其經濟和環境效益。
研究思路
首先,在全規模污水處理廠進行并行CAS和HPB工藝的長期比較監測;其次,采集廢水、污泥樣本測量氮濃度、污泥特性(如大小、EPS);然后,使用宏基因組學分析微生物群落和功能基因;接著,進行批次測試量化不同氮去除途徑的貢獻;最后,通過DO梯度測量(使用丹麥Unisense微電極)解釋污泥結構對性能的影響,并進行經濟成本分析。
測量的數據及研究意義
氮濃度數據(如NH??-N、TN的進水與出水濃度)
研究意義:評估工藝的氮去除性能和在工業廢水沖擊下的穩定性,證明HPB的優越性。
來自圖2。

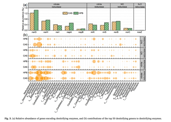
微生物豐度和功能基因數據(如AOB、NOB、anammox細菌的相對豐度,以及反硝化酶基因的豐度)
研究意義:解釋微生物群落如何影響氮去除效率,揭示HPB為何能富集更多硝化菌和anammox菌,增強抗沖擊能力。
來自圖3(a)和(b)。

污泥特性數據(如污泥大小、EPS含量、PN/PS比值)
研究意義:分析污泥結構變化如何促進DO梯度形成和SND,并理解污泥產量減少的機制。
來自圖4和圖6(EPS相關)。


DO分布梯度數據(使用丹麥Unisense微電極測量)
研究意義:量化污泥內部的缺氧區大小,解釋SND速率差異的原因。
來自圖5(a)。

氮去除速率和途徑貢獻數據(如anammox速率、SND速率及各途徑的貢獻百分比)
研究意義:量化不同代謝路徑對氮去除的貢獻,比較CAS和HPB的效率差異。
來自表1和圖5(b)。

經濟成本數據(如污泥產量、醋酸酸添加成本、年度節省)
研究意義:評估HPB工藝的實際應用價值和經濟可行性。
來自文本計算結果部分。
結論
HPB工藝顯著提高了總氮去除效率(從CAS的68.47%提升到79.33%),主要歸因于anammox途徑貢獻增加(從CAS的2.18%到HPB的9.10%)和SND途徑增強(提升72.87%),這得益于更大的污泥尺寸和更緊湊的結構形成更深缺氧區。
HPB工藝減少了污泥產量(比CAS少12.79%),因為能量和蛋白質更多用于載體附著和抵抗外部壓力以產生EPS(PN含量更高),而非生物增殖;同時,自養菌增多、捕食效應和硝酸鹽呼吸也降低了污泥增殖率。
HPB工藝在工業廢水沖擊下表現出更強穩定性(出水NH??-N更低),且通過節省污泥處理和醋酸酸添加成本,每10,000 m3/d處理廠年節省110,369.64美元運營成本,證明其作為改良IFAS工藝的可行性。
使用丹麥Unisense電極測量數據的研究意義
使用丹麥Unisense微電極測量的DO分布梯度數據(來自圖5(a))顯示,HPB工藝的污泥由于尺寸更大和結構更緊湊,導致DO滲透更深,形成更大的缺氧區,這直接促進了同步硝化反硝化(SND)的發生。研究意義在于,該數據量化了污泥內部的微環境差異,解釋了為什么HPB的SND速率顯著高于CAS(例如在DO 0.5-1 mg/L條件下,HPB速率是CAS的258.40%-741.34%)。這支持了核心機制:污泥結構優化通過創造缺氧條件增強氮去除,減少了對外部碳源的依賴,并提升了工藝的整體穩健性。此外,這些測量幫助驗證了宏基因組學分析中微生物功能的變化(如更高反硝化酶豐度),為HPB工藝的設計優化提供了實證基礎。