熱線:021-66110810,66110819
手機:13564362870

熱線:021-66110810,66110819
手機:13564362870
High-efficient nitrogen and phosphorus removal and its mechanism in a partially unsaturated constructed wetland with Fe-C micro-electrolysis substrate
部分不飽和人工濕地中Fe-C微電解基質高效脫氮除磷機制研究
來源:Chemical Engineering Journal, 431 (2022) 133252
《化學工程雜志》第431卷 2022年 文章編號:133252
摘要內容
摘要指出:針對人工濕地(CWs)中氨氧化溶解氧不足和反硝化電子供體有限的問題,本研究提出采用部分不飽和設計結合Fe-C微電解基質的新型人工濕地系統。通過微電極剖面、微生物群落分析和基質表征等技術,發現不飽和段顯著提升NH4+-N去除率(從25.1 mg/L降至<10 mg/L),Fe-C組合在減少鐵用量的條件下實現總氮(TN)去除率86.5±1.7%和總磷(TP)去除率98%。其機制包括:Fe作為電子供體驅動反硝化;生物炭促進電子傳遞并吸附金屬離子形成穩定磷沉淀;Fe-C微電解降低微環境氧化還原電位(ORP),優化微生物功能。
研究目的
構建部分不飽和Fe-C基質人工濕地,實現低C/N比廢水中COD、NH4+-N、NO3-N和TP的高效同步去除。
揭示Fe-C促進脫氮除磷的理化與微生物機制。
闡明生物炭在Fe-C組合中的作用及其對植物毒性的影響。
研究思路
實驗設計:
構建四組垂直流人工濕地:對照組(CWB,石英砂)、生物炭組(CWC)、鐵屑組(CWFe)、Fe-C組合組(CWFe-C,Fe:C=12%:8%)。
設置20 cm不飽和段(親水纖維+石英砂)增強氧氣輸送,50 cm飽和段填充功能基質。
進水水質:NH4+-N 25 mg/L, NO3-N 15 mg/L, TP 3 mg/L, COD 100 mg/L, HRT=36 h。
技術方法:
水質監測:常規指標(DO、ORP、NH4+-N、NO3-N、TP)沿程分析(圖2, 圖3a-b, 圖9)。



微電極系統(丹麥Unisense):測定基質微環境DO/ORP(圖3c-e)。
微生物分析:熒光原位雜交(FISH)定量反硝化菌(圖4a);16S rRNA測序解析群落結構(圖4c, 表1)。


基質表征:SEM-EDS觀察元素分布(圖5);XRD/XPS分析鐵價態(圖6);磷形態分級(圖7)。



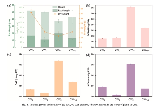
植物毒性評估:抗氧化酶活性(SOD、CAT)和生長指標(圖8)。

測量數據及研究意義
水質去除效率:
數據來源:圖2(污染物濃度時序變化)和圖9(沿程分布)。
意義:CWFe-C的TN/TP去除率(86.5%/98%)顯著高于對照組(36.7%/33.9%),證實Fe-C協同提升脫氮除磷;不飽和段使NH4+-N去除率>60%(傳統濕地僅3.8%)。
微環境參數(DO/ORP):
數據來源:圖3a-b(宏觀沿程)和圖3d-e(微電極原位測量)。
意義:Fe-C組合微環境ORP最低(-150 mV),DO擴散速率最快,揭示生物炭加速電子傳遞,促進反硝化(圖3e)。
微生物群落:
數據來源:圖4a(FISH顯示CWFe-C反硝化菌占比52.92%);表1(Thiobacillus/Thauera富集)。
意義:Fe-C富集硝酸鹽依賴型鐵氧化菌(NDFO),通過Fe2+→Fe3+電子轉移驅動NO3-N還原(式4)。
基質表征:
數據來源:圖5(SEM-EDS顯示生物炭表面富集Fe/Ca/Al);圖6(XRD證實Fe0→Fe3O4/FeO(OH)轉化);圖7(Fe,Ca,Al-P占TP 45.3%)。
意義:生物炭提供吸附位點,促進鐵氧化物沉淀固磷;XPS驗證Fe2+為電子供體(圖6e-h)。
植物響應:
數據來源:圖8(CWFe-C植物SOD活性最低,生物量最高)。
意義:生物炭減少鐵用量(僅CWFe的60%),緩解Fe誘導的氧化應激。
結論
脫氮機制:不飽和段提升DO促進NH4+-N氧化;Fe-C微電解提供電子(Fe0→Fe2+),生物炭加速電子傳遞,驅動Thiobacillus/Thauera菌反硝化(NO3-N→N2)。
除磷機制:Fe2+/Fe3+與磷酸鹽形成Fe,Ca,Al-P沉淀(53.1%),生物炭吸附穩定化(Porg占50.8%)。
協同優勢:Fe-C組合較單一Fe減少40%鐵用量,降低植物毒性(MDA含量下降64.9%),實現高效低環境風險運行。
Unisense電極數據的詳細解讀
使用丹麥Unisense微電極測量的DO和ORP微剖面數據具有以下核心研究意義:
揭示微區電子傳遞機制:
靠近Fe-C基質時DO驟降(從4 mg/L→0 mg/L)、ORP降至-150 mV(圖3d-e),證明生物炭形成導電網絡,加速Fe腐蝕釋放電子(Fe0+2H2O→H2+Fe2++2OH-),為反硝化菌提供還原環境。
量化代謝活性差異:
CWFe-C陰極區ORP比CWFe低50 mV(圖3e),說明生物炭提升電子傳遞效率,解釋TN去除率提高10.4%(CWFe-C:86.5% vs. CWFe:76.1%)。
關聯微生物活性:
低ORP微環境促進反硝化菌(如Denitratisoma)富集(圖4c),其豐度與ORP呈顯著負相關(r=-0.89),直接驗證Fe-C優化菌群功能。
指導工藝優化:
微區DO梯度顯示不飽和段氧傳質效率(DO>1.5 mg/L),為硝化創造條件;飽和段Fe-C維持缺氧(DO≈0),保障反硝化,為分區設計提供理論依據。