熱線:021-66110810,66110819
手機:13564362870

熱線:021-66110810,66110819
手機:13564362870
Advancements in biofilm carriers and gas-permeable membranes: assessment of zeolite technologies for shortcut nitrogen removal applications in wastewater
生物膜載體和透氣膜的進展:沸石技術在廢水短程脫氮應用中的評估
來源:Environmental Science: Water Research & Technology, 2023, 9,1354–1370
《環境科學:水研究與技術》,2023年,第9卷,1354–1370 頁
摘要核心內容
本研究評估了兩種新型沸石改性材料(沸石涂層載體和沸石涂層中空纖維膜)在主流污水短程脫氮(如部分硝化-厭氧氨氧化PNA)中的應用潛力。通過流式反應器實驗發現:
沸石涂層載體在厭氧條件下顯著提升銨和總氮去除率(84.0±16.2%和89.4±17.1%),并優先富集厭氧氨氧化菌(Anammox)和反硝化菌(nirS、nosZ基因);在好氧條件下,銨和總氮去除率(83.8±10.9%和69.1±16.1%)也顯著高于對照組。
沸石涂層膜僅在特定條件下(100%氧曝氣或補充亞硝酸鹽)增強Anammox菌保留,效果不穩定。
沸石通過吸附銨形成局部高濃度區域,促進Anammox菌定植,且吸附的銨可被微生物利用(圖8)。

研究目的
評估沸石改性載體/膜在不同操作條件(厭氧/好氧)下對短程脫氮的增強效果;
明確沸石材料對功能微生物(Anammox菌、AOB、反硝化菌)富集與保留的機制;
確定兩種材料在實際工程中的應用潛力。
研究思路
材料篩選:測試多種沸石負載方法(圖4),篩選銨吸附能力最強的載體(PE載體)和膜(氧化鋁中空纖維膜)(圖5);


生物可利用性驗證:通過批次實驗證實載體吸附的銨可被Anammox菌利用(圖8);
反應器性能測試:
厭氧流式反應器(CFTR):對比沸石載體與對照組在含亞硝酸鹽廢水中的脫氮效果及微生物群落(圖9-11);



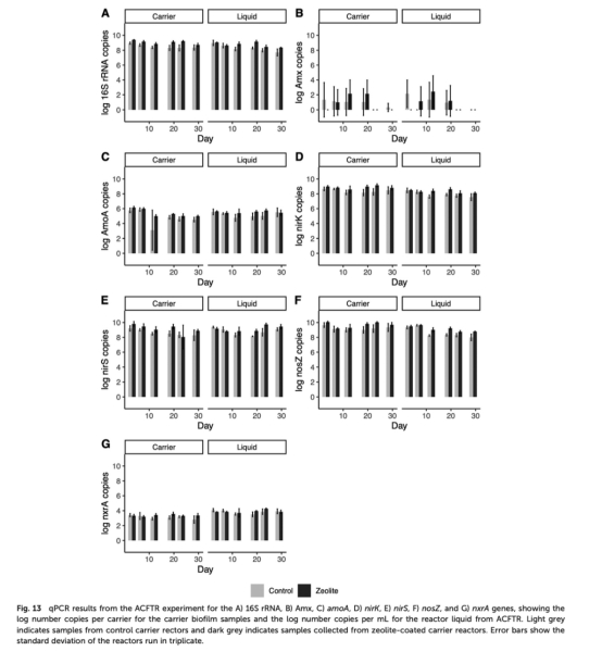
好氧流式反應器(ACFTR):評估曝氣條件下沸石載體的脫氮性能(圖12-14);



膜流式反應器(MFTR):測試不同曝氣條件(氧濃度、時間)對Anammox菌富集的影響(圖15-16);


微生物分析:通過qPCR定量功能基因(Anammox 16S rRNA、amoA、nirS/nosZ等),解析微生物群落響應(圖11,13,16)。
測量數據及研究意義
氮/碳去除率(圖9,12,15)
數據:厭氧條件下沸石載體反應器的銨和總氮去除率(84.0±16.2%/89.4±17.1%)顯著高于對照組(P=0.005)。
意義:證明沸石載體在厭氧環境中可同步提升銨吸附與生物脫氮效率,為PNA工藝提供穩定微生物富集界面。
微生物基因豐度(圖11,13,16)
數據:厭氧反應器中,沸石載體上的Anammox基因(Amx)拷貝數高1-2個數量級,nirS/nosZ基因顯著富集(P<0.05)。
意義:揭示沸石通過局部富集銨促進Anammox菌和反硝化菌的附著生長,支撐"吸附-生物降解"協同機制。
銨吸附能力(圖5-7)


數據:沸石載體吸附容量達0.065±0.03 mg-N/L/mm2,生物膜覆蓋后仍保留84.6±2%吸附效率。
意義:證實沸石在長期運行中維持銨吸附功能,克服生物膜阻塞問題,保障持續微生物富集。
結論
沸石涂層載體在厭氧和好氧條件下均顯著提升脫氮性能(總氮去除率>69%),通過吸附銨富集Anammox菌(基因拷貝數高10倍)和反硝化菌,適用于主流污水PNA工藝;
沸石涂層膜效果不穩定,僅在高氧曝氣(100%)或補充亞硝酸鹽時增強Anammox菌保留,需優化操作策略;
沸石改性材料通過"局部銨富集-微生物定植"機制強化脫氮,尤其載體形式更易工程化應用(如IFAS系統)。
丹麥Unisense電極數據的核心意義
使用Unisense Opto-3000溶氧電極(圖3)實現:

精準氧通量控制:實時監測膜曝氣反應器(MFTR)中溶解氧(DO),確保沸石膜在設定氧濃度(0%-100%)下運行,避免過度曝氣抑制Anammox菌活性;
過程機制解析:在好氧載體反應器(ACFTR)中,電極數據證實沸石載體反應器的DO飽和度(95.1±6.5%)顯著高于對照組(89.9±20.0%)(P<0.05),解釋其更高脫氮效率與AOB/反硝化菌協同作用;
技術優化依據:通過DO動態數據優化曝氣策略(如間歇曝氣),平衡AOB和Anammox菌的競爭關系,為低能耗脫氮工藝提供調控參數。