熱線:021-66110810,66110819
手機:13564362870

熱線:021-66110810,66110819
手機:13564362870
Ocean acidification and warming modify stimulatory benthos effects on sediment functioning: An experimental study on two ecosystem engineers
海洋酸化和變暖改變底棲生物對沉積物功能的促進作用:針對兩種生態系統工程師的實驗研究
來源:Frontiers in Marine Science,2023
《海洋科學前沿》,2023年
摘要內容:
摘要指出海洋酸化(pH降低0.3單位)和變暖(升溫3°C)通過改變兩種關鍵底棲生物(白溝蛤Abra alba和沙管蟲Lanice conchilega)的行為和生理,影響其對沉積物生物地球化學循環的促進作用。在環境條件下,兩種生物均促進沉積物氧消耗和氮循環(硝化與反硝化)。酸化使沙管蟲對沉積物代謝和氮循環的促進作用增強8-41%,而變暖對其無顯著影響。相反,白溝蛤在酸化或單獨變暖環境下失去促進作用,但在酸化和變暖共同作用時恢復促進作用(硝化+61%,反硝化+110%)。白溝蛤在變暖環境下存活率下降34%,導致其生態功能隨時間減弱。
研究目的:
量化海洋酸化和變暖對兩種生態系統工程師(A. alba和L. conchilega)存活及其生態功能的影響。
揭示氣候改變如何通過生物行為調控沉積物氮循環(硝化、反硝化)和氧動力學。
研究思路:
實驗設計:
采集北海沉積物和生物樣本,實驗室模擬四種場景:對照組(CTRL,pH 8.1-8.2, 18-19°C)、酸化組(OA,pH降低0.3)、變暖組(OW,升溫3°C)、氣候變化組(CC,pH降低0.3且升溫3°C)。
設置含生物與無生物的沉積物微宇宙(各4重復),暴露6周。
行為與功能監測:
存活率:每日記錄生物死亡率(圖1)。

氧滲透深度(OPD):使用Unisense OX100微電極(100μm尖端)以250μm步進測量沉積物氧剖面(圖2)。

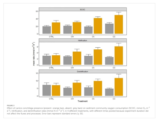
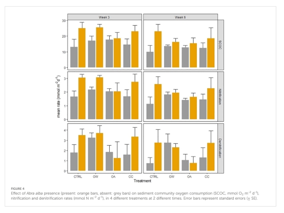
沉積物-水界面通量:黑暗孵育3小時,測量沉積物群落氧消耗(SCOC)、硝化與反硝化速率(圖3,4)。


數據分析:線性混合效應模型檢驗生物存在、pH、溫度和時間對功能的交互影響。
測量數據及研究意義:
存活率(圖1):
數據:白溝蛤在變暖(OW+CC)下存活率降低34%(CTRL:67% vs OW:50%),沙管蟲存活率無顯著變化。
意義:表明白溝蛤對升溫更敏感,種群衰退可能削弱其生態功能。
氧滲透深度(OPD)(圖2):
數據:兩種生物在CTRL下增加OPD 27-31%(沙管蟲:+1.32mm);酸化或變暖單獨作用降低白溝蛤的OPD促進作用。
意義:反映生物灌溉對沉積物氧化能力的調控,OPD增加擴大微生物活性區域。
沉積物代謝與氮循環(圖3,4):
SCOC:沙管蟲在酸化下促進SCOC +37%(vs CTRL +28%);白溝蛤在酸化下失去促進作用,但在CC場景恢復。
硝化/反硝化:沙管蟲在酸化下提升硝化+41%、反硝化+25%;白溝蛤在CC場景提升硝化+61%、反硝化+110%。
意義:證實生物行為改變(如沙管蟲泵水增加)直接增強氮循環,但白溝蛤的響應受氣候因子交互作用調制。
Unisense電極數據的詳細研究意義:
丹麥Unisense氧微電極(型號OX100)在本研究中實現以下核心價值:
毫米級分辨率驗證生物工程機制:通過垂直剖面測量(步進250μm),量化沙管蟲泵水使沉積物氧滲透深度增加1.32±0.16mm(圖2),直接證實生物灌溉對沉積物氧化深度的物理調控,為硝化作用(需氧)和反硝化(缺氧區)的空間耦合提供證據。
揭示氣候脅迫下的穩定性:盡管酸化使沙管蟲泵水頻率增加30%(引用Vlaminck et al. 2022a),但OPD在酸化處理中未進一步增加(圖2),表明管結構或灌溉效率未受酸化破壞,解釋了其在酸化下維持功能促進的原因。
技術優勢:相比傳統分層采樣,微電極的秒級時間分辨率捕捉到生物行為(如泵水事件)引發的氧濃度瞬態波動,證實壓力傳感器信號對應真實生物物理過程(如單次"活塞泵"引發深層沉積物瞬時氧升),為行為-功能關聯提供直接證據。
結論:
物種特異性響應:
沙管蟲通過增加泵水頻率適應酸化,增強沉積物氧化和氮循環(SCOC +37%,硝化+41%),變暖無顯著影響。
白溝蛤在酸化或單獨變暖下失去功能促進作用,但在酸化和變暖協同作用(CC)時恢復,源于變暖緩解酸化對鈣化的抑制(文石飽和度升高,表1)。

生態功能啟示:
沙管蟲可能緩沖酸化對沉積物氮循環的負面影響,而白溝蛤種群衰退(升溫下存活率降34%)可能削弱碳氮循環。
生物行為改變(灌溉頻率)通過調控沉積物氧化還原狀態,級聯影響微生物過程,凸顯"生態系統工程師"在氣候場景下的關鍵作用。
長期不確定性:白溝蛤在變暖下的高死亡率預示長期功能衰減,而沙管蟲的適應性行為是否可持續需進一步研究。